Dziennik Gazeta Prawana logo
Zakończyła się matura z fizyki na poziomie rozszerzonym. Do egzaminu podeszło ponad 17 tys. zdających. Co było na egzaminie z fizyki? Centralna Komisja Egzaminacyjna opublikowała arkusze CKE, które znajdziecie poniżej. Natomiast eksperci z serwisu "Fizyka Gryzie" przygotowali dla Was odpowiedzi.

Przypomnijmy, matura 2024 rozpoczęła się 7 maja. Egzaminy trwają do 25 maja. Część pisemną zaplanowano na dni 7-24 maja, a egzaminy ustne odbywają się między 11 a 16 maja oraz w dniach 20-25 maja.

Matura 2024. Fizyka. Co było? Arkusze CKE

CKE opublikowała arkusze CKE, które znajdziesz poniżej. Po kliknięciu w link sprawdzisz, jak wyglądał tegoroczny egzamin:

ARKUSZ CKE – MATURA 2024, FIZYKA- POZIOM ROZSZERZONY, FORMUŁA 2023

matura-2024-co-bylo-na-egzaminie-z-fizyki-arkusze-cke-38197208.png
Matura 2024. Co było na egzaminie z fizyki? [ARKUSZE CKE]

ARKUSZ CKE – MATURA 2024, FIZYKA - POZIOM ROZSZERZONY, FORMUŁA 2015 

matura-2024-co-bylo-na-egzaminie-z-fizyki-arkusze-cke-38197205.png
Matura 2024. Co było na egzaminie z fizyki? [ARKUSZE CKE]

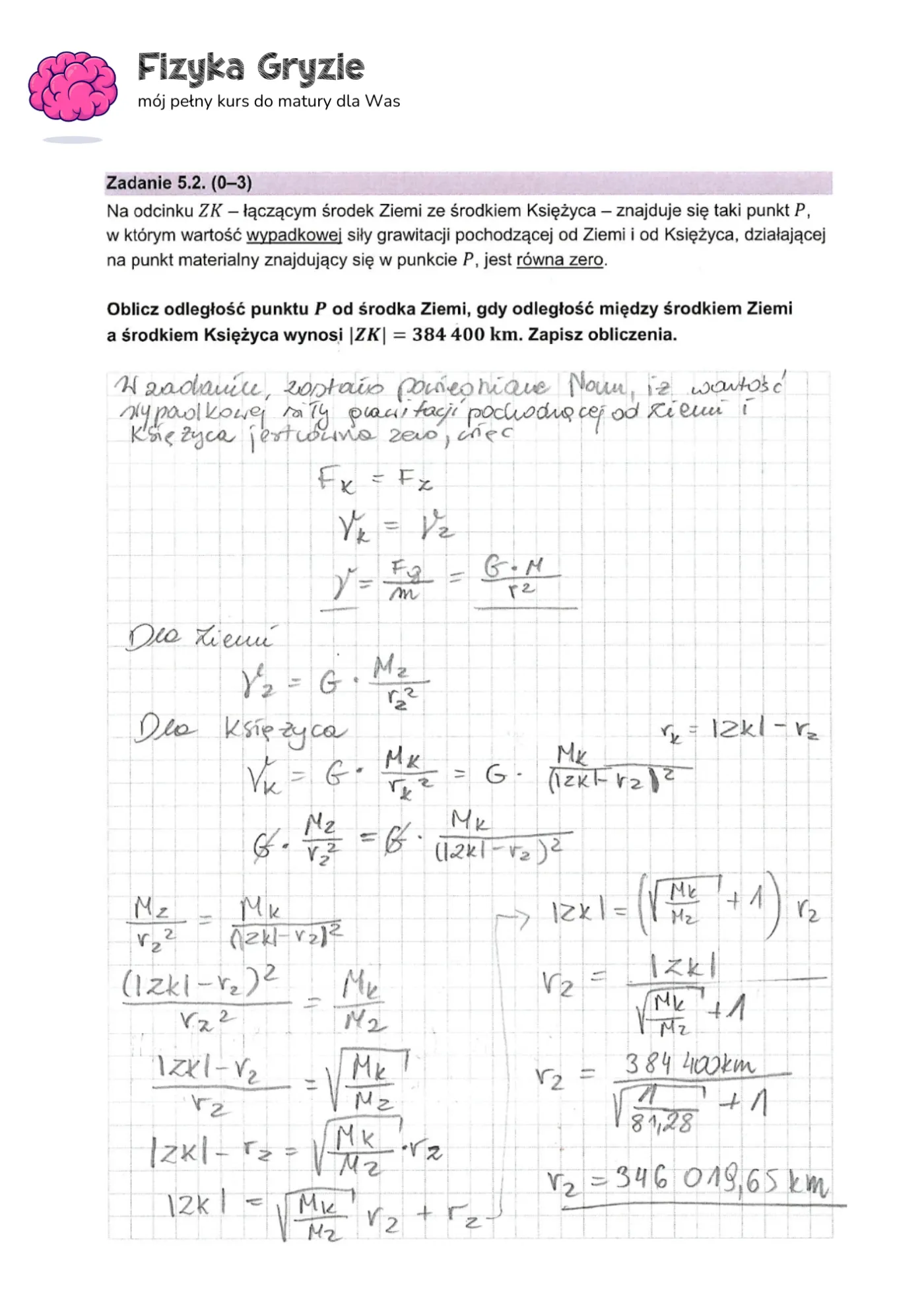
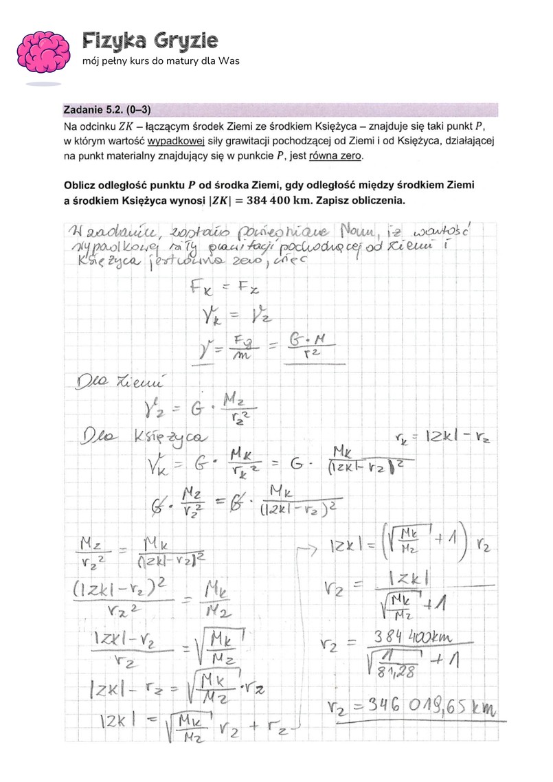
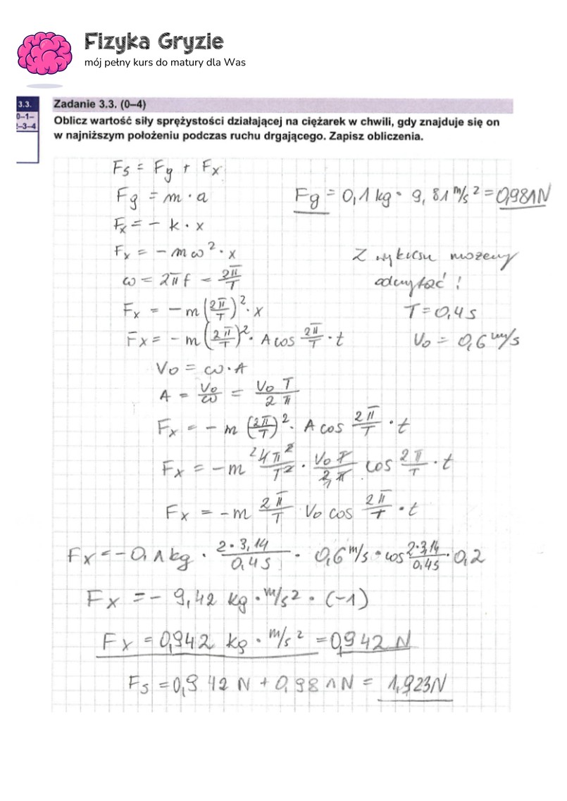
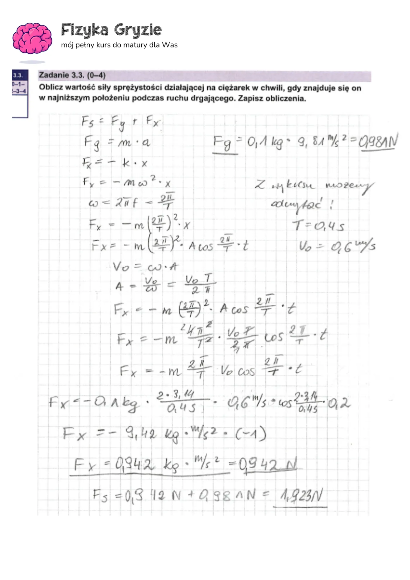
MATURA 2024, FIZYKA - POZIOM ROZSZERZONY. ODPOWIEDZI

 Natomiast eksperci z serwisu "Fizyka Gryzie" przygotowali dla Was odpowiedzi.

matura-2024-co-bylo-na-egzaminie-z-fizyki-arkusze-cke-i-odpowiedzi-38198815.png
Matura 2024. Co było na egzaminie z fizyki? [ARKUSZE CKE I ODPOWIEDZI]
matura-2024-co-bylo-na-egzaminie-z-fizyki-arkusze-cke-i-odpowiedzi-38198820.png
Matura 2024. Co było na egzaminie z fizyki? [ARKUSZE CKE I ODPOWIEDZI]
matura-2024-co-bylo-na-egzaminie-z-fizyki-arkusze-cke-i-odpowiedzi-38198821.png
Matura 2024. Co było na egzaminie z fizyki? [ARKUSZE CKE I ODPOWIEDZI]
matura-2024-co-bylo-na-egzaminie-z-fizyki-arkusze-cke-i-odpowiedzi-38198827.png
Matura 2024. Co było na egzaminie z fizyki? [ARKUSZE CKE I ODPOWIEDZI]
matura-2024-co-bylo-na-egzaminie-z-fizyki-arkusze-cke-i-odpowiedzi-38198829.png
Matura 2024. Co było na egzaminie z fizyki? [ARKUSZE CKE I ODPOWIEDZI]
matura-2024-co-bylo-na-egzaminie-z-fizyki-arkusze-cke-i-odpowiedzi-38198837.png
Matura 2024. Co było na egzaminie z fizyki? [ARKUSZE CKE I ODPOWIEDZI]
matura-2024-co-bylo-na-egzaminie-z-fizyki-arkusze-cke-i-odpowiedzi-38198844.png
Matura 2024. Co było na egzaminie z fizyki? [ARKUSZE CKE I ODPOWIEDZI]
matura-2024-co-bylo-na-egzaminie-z-fizyki-arkusze-cke-i-odpowiedzi-38198845.png
Matura 2024. Co było na egzaminie z fizyki? [ARKUSZE CKE I ODPOWIEDZI]
matura-2024-co-bylo-na-egzaminie-z-fizyki-arkusze-cke-i-odpowiedzi-38198799.png
Matura 2024. Co było na egzaminie z fizyki? [ARKUSZE CKE I ODPOWIEDZI]
matura-2024-co-bylo-na-egzaminie-z-fizyki-arkusze-cke-i-odpowiedzi-38198805.png
Matura 2024. Co było na egzaminie z fizyki? [ARKUSZE CKE I ODPOWIEDZI]
matura-2024-co-bylo-na-egzaminie-z-fizyki-arkusze-cke-i-odpowiedzi-38198809.png
Matura 2024. Co było na egzaminie z fizyki? [ARKUSZE CKE I ODPOWIEDZI]
matura-2024-co-bylo-na-egzaminie-z-fizyki-arkusze-cke-i-odpowiedzi-38198807.png
Matura 2024. Co było na egzaminie z fizyki? [ARKUSZE CKE I ODPOWIEDZI]
matura-2024-co-bylo-na-egzaminie-z-fizyki-arkusze-cke-i-odpowiedzi-38198779.png
Matura 2024. Co było na egzaminie z fizyki? [ARKUSZE CKE I ODPOWIEDZI]
matura-2024-co-bylo-na-egzaminie-z-fizyki-arkusze-cke-i-odpowiedzi-38198786.png
Matura 2024. Co było na egzaminie z fizyki? [ARKUSZE CKE I ODPOWIEDZI]
matura-2024-co-bylo-na-egzaminie-z-fizyki-arkusze-cke-i-odpowiedzi-38198794.png
Matura 2024. Co było na egzaminie z fizyki? [ARKUSZE CKE I ODPOWIEDZI]
matura-2024-co-bylo-na-egzaminie-z-fizyki-arkusze-cke-i-odpowiedzi-38198753.png
Matura 2024. Co było na egzaminie z fizyki? [ARKUSZE CKE I ODPOWIEDZI]
matura-2024-co-bylo-na-egzaminie-z-fizyki-arkusze-cke-i-odpowiedzi-38198759.png
Matura 2024. Co było na egzaminie z fizyki? [ARKUSZE CKE I ODPOWIEDZI]
matura-2024-co-bylo-na-egzaminie-z-fizyki-arkusze-cke-i-odpowiedzi-38198760.png
Matura 2024. Co było na egzaminie z fizyki? [ARKUSZE CKE I ODPOWIEDZI]
matura-2024-co-bylo-na-egzaminie-z-fizyki-arkusze-cke-i-odpowiedzi-38198762.png
Matura 2024. Co było na egzaminie z fizyki? [ARKUSZE CKE I ODPOWIEDZI]
matura-2024-co-bylo-na-egzaminie-z-fizyki-arkusze-cke-i-odpowiedzi-38198773.png
Matura 2024. Co było na egzaminie z fizyki? [ARKUSZE CKE I ODPOWIEDZI]
matura-2024-co-bylo-na-egzaminie-z-fizyki-arkusze-cke-i-odpowiedzi-38198750.png
Matura 2024. Co było na egzaminie z fizyki? [ARKUSZE CKE I ODPOWIEDZI]
matura-2024-co-bylo-na-egzaminie-z-fizyki-arkusze-cke-i-odpowiedzi-38198751.png
Matura 2024. Co było na egzaminie z fizyki? [ARKUSZE CKE I ODPOWIEDZI]
matura-2024-co-bylo-na-egzaminie-z-fizyki-arkusze-cke-i-odpowiedzi-38198745.png
Matura 2024. Co było na egzaminie z fizyki? [ARKUSZE CKE I ODPOWIEDZI]

Matura 2024. Szczegółowy harmonogram matur pisemnych

W pierwszym tygodniu egzaminów odbyły się pisemne matury 2024 z:

  • 7 maja - g. 9:00 - język polski (PP), 
  • 8 maja - g. 9:00 – matematyka (PP), g. 14:00 - język kaszubski (PR), język łemkowski (PR), język łaciński i kultura antyczna (PR), 
  • 9 maja - g. 9:00 - język angielski (PP), g. 14:00 - język francuski (PP), język hiszpański (PP), język niemiecki (PP), język rosyjski (PP), język włoski (PP),
  • 10 maja - g. 9:00 - wiedza o społeczeństwie (PR), g. 14:00 - język niemiecki (PR, PD)

Matura 2024. Te egzaminy odbyły się w drugim tygodniu [HARMONOGRAM, GODZINY]

  • 13 maja - g. 9:00 - język angielski (PR, PD), g. 14:00 – filozofia (PR), 
  • 14 maja - g. 9:00 – biologia (PR), g. 14:00 - język rosyjski (PR, PD), 
  • 15 maja - g. 9:00 – matematyka (PR), g. 14:00 - język francuski (PR, PD), 
  • 16 maja - g. 9:00 – chemia (PR), g. 14:00 - historia muzyki (PR), 
  • 17 maja - g. 9:00 – geografia (PR), g. 14:00 - języki mniejszości narodowych (PP)

Matura 2024. Te egzaminy odbywają się w trzecim tygodniu [HARMONOGRAM, GODZINY]

  • 20 maja - g. 9:00 - język polski (PR), g. 14:00 - języki mniejszości narodowych (PR), 
  • 21 maja - g. 9:00 – historia (PR), g. 14:00 - język hiszpański (PR, PD), 
  • 22 maja - g. 9:00 – informatyka (PR), g. 14:00 - historia sztuki (PR), 
  • 23 maja - g. 9:00 – fizyka (PR), g. 14:00 - język włoski (PR, PD), 
  • 24 maja - g. 9:00 - matematyka (PP), g. 10:35 - geografia (PR), g. 12:10 - chemia (PR), g. 13:45 - fizyka (PR), g. 15:20 - biologia (PR), g. 16:55 - historia (PR) w języku obcym.

***PD– poziom dwujęzyczny, PP – poziom podstawowy, PR – poziom rozszerzony.

Przewidziane są również matury pisemne 2024 w terminie dodatkowym:

  • 3-7 czerwca 2024,
  • 10-14 czerwca 2024,
  • 17 czerwca 2024.

Matura 2024. Dwie formuły egzaminu

W 2024 r. egzamin maturalny, podobnie jak w roku poprzednim, odbywa się w dwóch formułach - w tzw. Formule 2023 oraz w Formule 2015.
 

Do egzaminu maturalnego w "Formule 2023" przystępują:

  • absolwenci 4-letniego liceum ogólnokształcącego (po raz pierwszy lub kolejny);
  • absolwenci 5-letniego technikum (po raz pierwszy); 
  • absolwenci branżowej szkoły II stopnia na podbudowie 8-letniej szkoły podstawowej (po raz pierwszy);
  • osoby, które uzyskały świadectwo ukończenia 4-letniego liceum ogólnokształcącego na podstawie egzaminów eksternistycznych (po raz pierwszy);
  • absolwenci ponadpodstawowych szkół średnich (z wyjątkami; po raz pierwszy lub kolejny) oraz absolwenci oddziałów międzynarodowych, posiadający dyplom IB (po raz pierwszy).

Natomiast do egzaminu maturalnego w "Formule 2015" podchodzą:

  • absolwenci wszystkich typów szkół z lat ubiegłych, tj. 3-letniego liceum ogólnokształcącego, szkoły artystycznej realizującej program 3-letniego liceum ogólnokształcącego, 4-letniego technikum, liceum profilowanego oraz technikum uzupełniającego dla młodzieży, uzupełniającego liceum ogólnokształcącego; 
  • absolwenci branżowej szkoły II stopnia na podbudowie gimnazjum (po raz pierwszy lub kolejny);
  • osoby, które uzyskały świadectwo ukończenia 3-letniego liceum ogólnokształcącego na podstawie egzaminów eksternistycznych.

Matura - czas trwania egzaminów pisemnych

Egzaminy maturalne 2024 trwają od 2 do 4 godzin, w zależności od przedmiotu i poziomu. Najdłużej trwał egzamin z języka polskiego na poziomie podstawowym - 4 godziny.

Polski i informatyka na poziomie rozszerzonym - 3,5 godziny.

Przedmioty dodatkowe, poza informatyką -  3 godziny. Najmniej czasu przewidziano na egzamin z języka obcego na poziomie podstawowym -2 godziny.

Natomiast na język obcy na poziomie rozszerzonym przewidziano 2,5 godziny.

Matura 2024 - Kiedy wyniki?

Informacje o wynikach egzaminu maturalnego zostaną przekazane do szkół przez okręgowe komisje egzaminacyjne do 9 lipca 2024 roku. I to właśnie 9 lipca ogłoszone zostaną ogólnopolskie wyniki tegorocznego egzaminu maturalnego.

Matura 2024 - termin poprawkowy

Jak co roku przewidziany jest również maturalny egzamin poprawkowy. W tym roku: 
Część pisemna odbędzie się 20 sierpnia 2024 r. o godz. 9:00.  Natomiast część ustna (język polski, języki mniejszości narodowych, języki obce nowożytne) – 21 sierpnia 2024 r.
Wyniki matury poprawkowej ogłoszone zostaną - 10 września 2024.

Copyright
Materiał chroniony prawem autorskim - wszelkie prawa zastrzeżone. Dalsze rozpowszechnianie artykułu za zgodą wydawcy INFOR PL S.A. Kup licencję
Źródło dziennik.pl
Aneta Malinowska
Aneta Malinowska
<p><span>Dziennikarka. Dawniej związana&nbsp;</span><a href="http://m.in/"><span>m.in</span></a><span>. z Polskim Radiem, Superstacją, Wirtualną Polską, portalem Tokfm.pl i Gazeta.pl oraz kilkoma mniejszymi redakcjami radiowymi i internetowymi. W Dziennik.pl zajmuje się głównie tematami społeczno-politycznymi. W czasie wolnym – wielbicielka kawy, podcastów, dobrej muzyki oraz bliższych i dalszych podróży.</span></p>
Zobacz wszystkie artykuły tego autoraMatura 2024. Co było na egzaminie z fizyki? [ARKUSZE CKE I ODPOWIEDZI] »
Zapisz się na newsletter
Najważniejsze wydarzenia polityczne i społeczne, istotne wiadomości kulturalne, najlepsza rozrywka, pomocne porady i najświeższa prognoza pogody. To wszystko i wiele więcej znajdziesz w newsletterze Dziennik.pl. Trzymamy rękę na pulsie Polski i świata. Zapisz się do naszego newslettera i bądź na bieżąco!

Zapisując się na newsletter wyrażasz zgodę na otrzymywanie treści reklam również podmiotów trzecich

Administratorem danych osobowych jest INFOR PL S.A. Dane są przetwarzane w celu wysyłki newslettera. Po więcej informacji kliknij tutaj