- Matura 2024 - matematyka. Dwie formuły egzaminu
- Matura 2024 z matematyki. Co było? Arkusze CKE
- Matura 2024. Arkusze CKE z matematyki. Formuła 2023
- Matura 2024. Arkusze CKE - matematyka. Formuła 2015
- Matura 2024. Matematyka - poziom rozszerzony. ODPOWIEDZI
Matura 2024 z matematyki na poziomie rozszerzonym, podobnie jak w roku poprzednim odbyła się w dwóch formułach – 2015 i 2023. Poniżej zamieszczamy linki do arkuszy CKE oraz proponowane przez specjalistów odpowiedzi i rozwiązania zadań.
Matura 2024 - matematyka. Dwie formuły egzaminu
Do egzaminu maturalnego w "Formule 2023" przystąpili w tym roku:
absolwenci 4-letniego liceum ogólnokształcącego (po raz pierwszy lub kolejny);absolwenci 5-letniego technikum (po raz pierwszy);absolwenci branżowej szkoły II stopnia na podbudowie 8-letniej szkoły podstawowej (po raz pierwszy);osoby, które uzyskały świadectwo ukończenia 4-letniego liceum ogólnokształcącego na podstawie egzaminów eksternistycznych (po raz pierwszy);absolwenci ponadpodstawowych szkół średnich (z wyjątkami; po raz pierwszy lub kolejny) oraz absolwenci oddziałów międzynarodowych, posiadający dyplom IB (po raz pierwszy).
Natomiast do egzaminu maturalnego w "Formule 2015" przystąpili:
absolwenci wszystkich typów szkół z lat ubiegłych, tj. 3-letniego liceum ogólnokształcącego, szkoły artystycznej realizującej program 3-letniego liceum ogólnokształcącego, 4-letniego technikum, liceum profilowanego oraz technikum uzupełniającego dla młodzieży, uzupełniającego liceum ogólnokształcącego;absolwenci branżowej szkoły II stopnia na podbudowie gimnazjum (po raz pierwszy lub kolejny);osoby, które uzyskały świadectwo ukończenia 3-letniego liceum ogólnokształcącego na podstawie egzaminów eksternistycznych.
Matura 2024 z matematyki. Co było? Arkusze CKE
Już wiadomo z jakimi zadaniami musieli zmierzyć się tegoroczni maturzyści na maturze z matematyki na poziomie rozszerzonym. Po godz. 14.00 CKE opublikowała arkusze egzaminacyjne z matematyki w starej i nowej formule, a nasi specjaliści z serwisu "MATEMATYKA GRYZIE" zasiedli i przygotowują dla Was rozwiązania, które sukcesywnie zamieszczamy w tym artykule.
Arkusze CKE znajdziecie poniżej. Po kliknięciu w odpowiednie linki sprawdzisz, jak wyglądał tegoroczny egzamin.
Matura 2024. Arkusze CKE z matematyki. Formuła 2023
Jeśli chcesz sprawdzić, co było w formule 2023 kliknij tutaj:
ARKUSZ CKE – MATURA 2024 MATEMATYKA, POZIOM ROZSZERZONY, FORMUŁA 2023
Matura 2024. Arkusze CKE - matematyka. Formuła 2015
Jeśli chcesz sprawdzić, co było w formule 2015 kliknij tutaj:
ARKUSZ CKE – MATURA 2024 MATEMATYKA, POZIOM ROZSZERZONY, FORMUŁA 2015
Matura 2024. Matematyka - poziom rozszerzony. ODPOWIEDZI
Zaraz po opublikowaniu przez Centralną Komisję Egzaminacyjną arkuszy CKE nasi eksperci usiedli do nich i przygotowują dla was proponowane odpowiedzi z matury 2024 z matematyki na poziomie rozszerzonym.
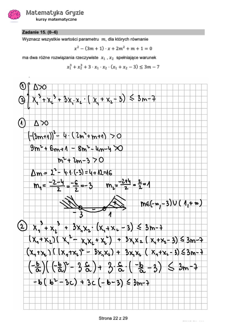
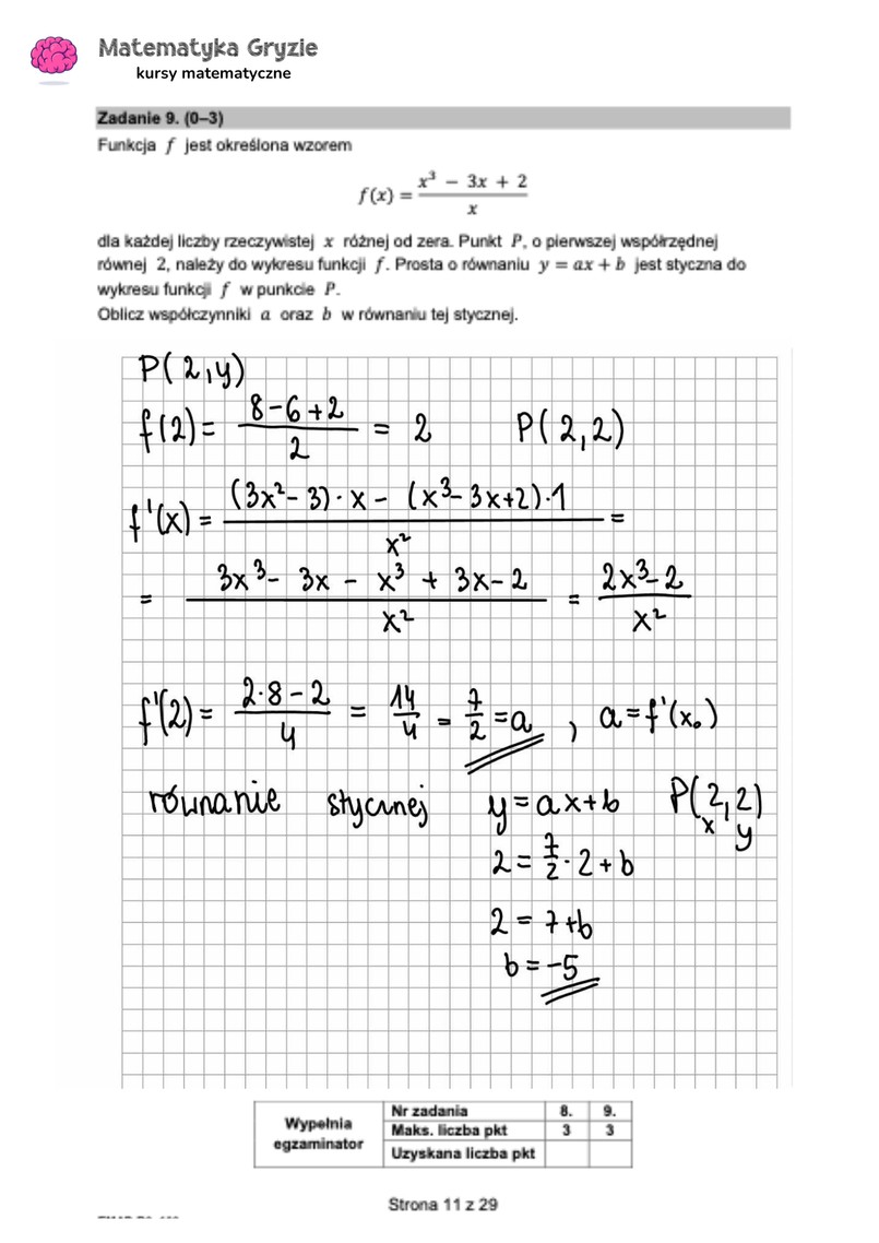
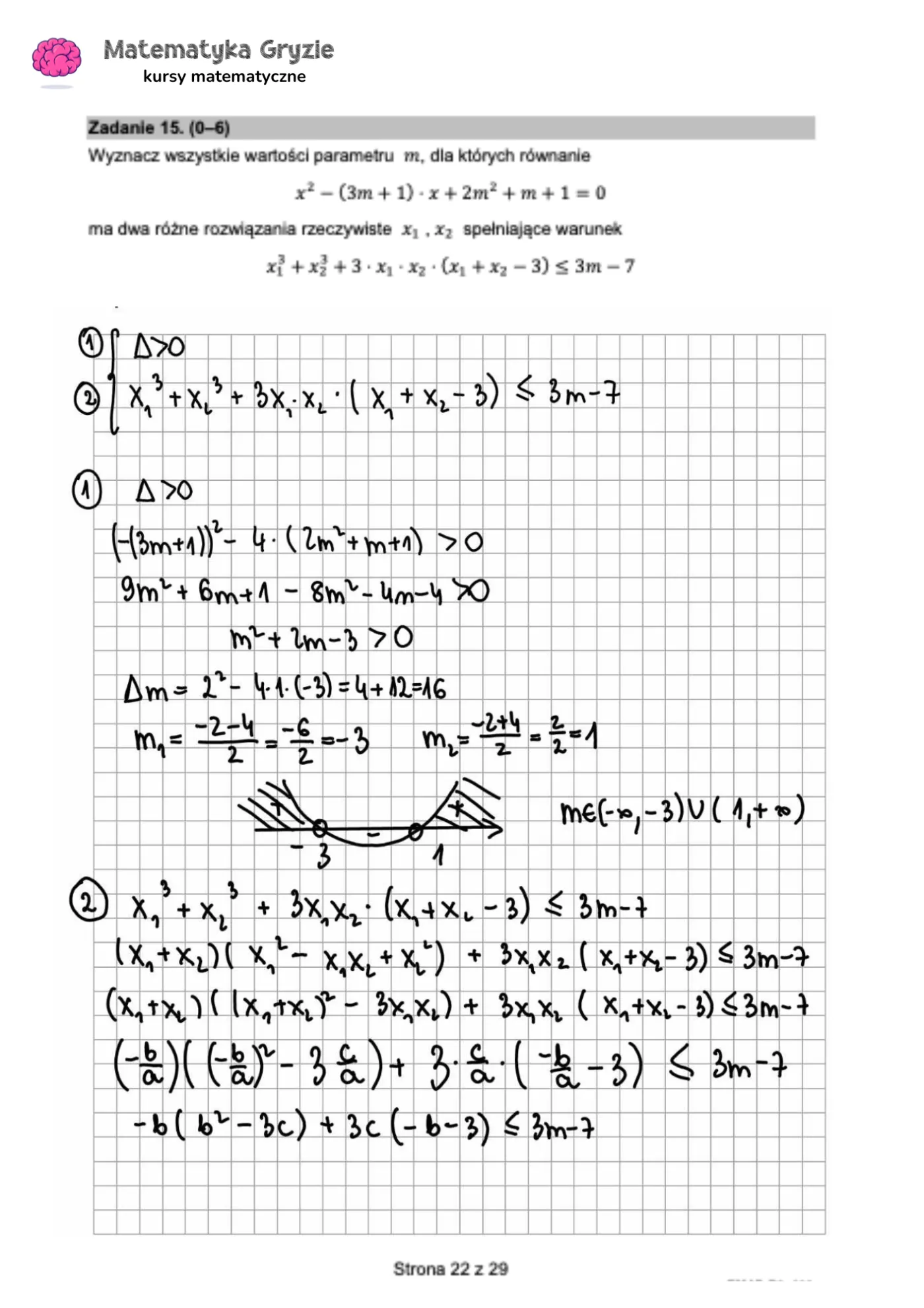
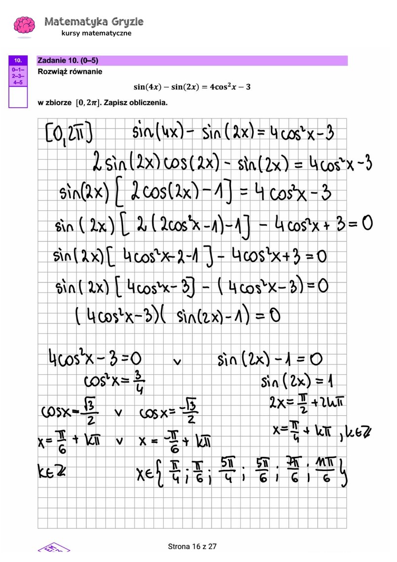
Matura 2024. Matematyka. Formuła 2023 - ODPOWIEDZI
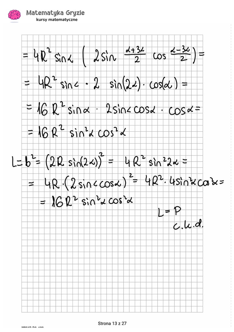
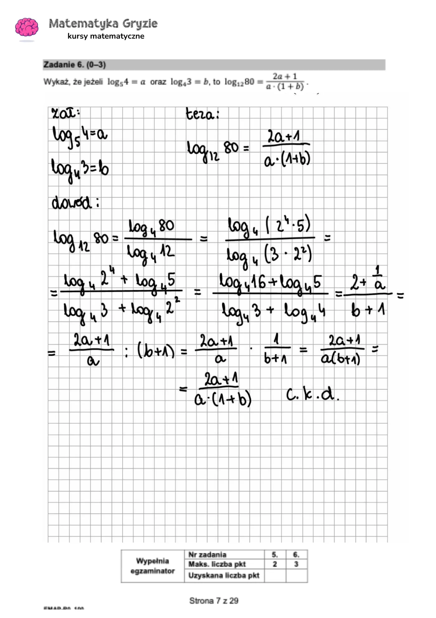
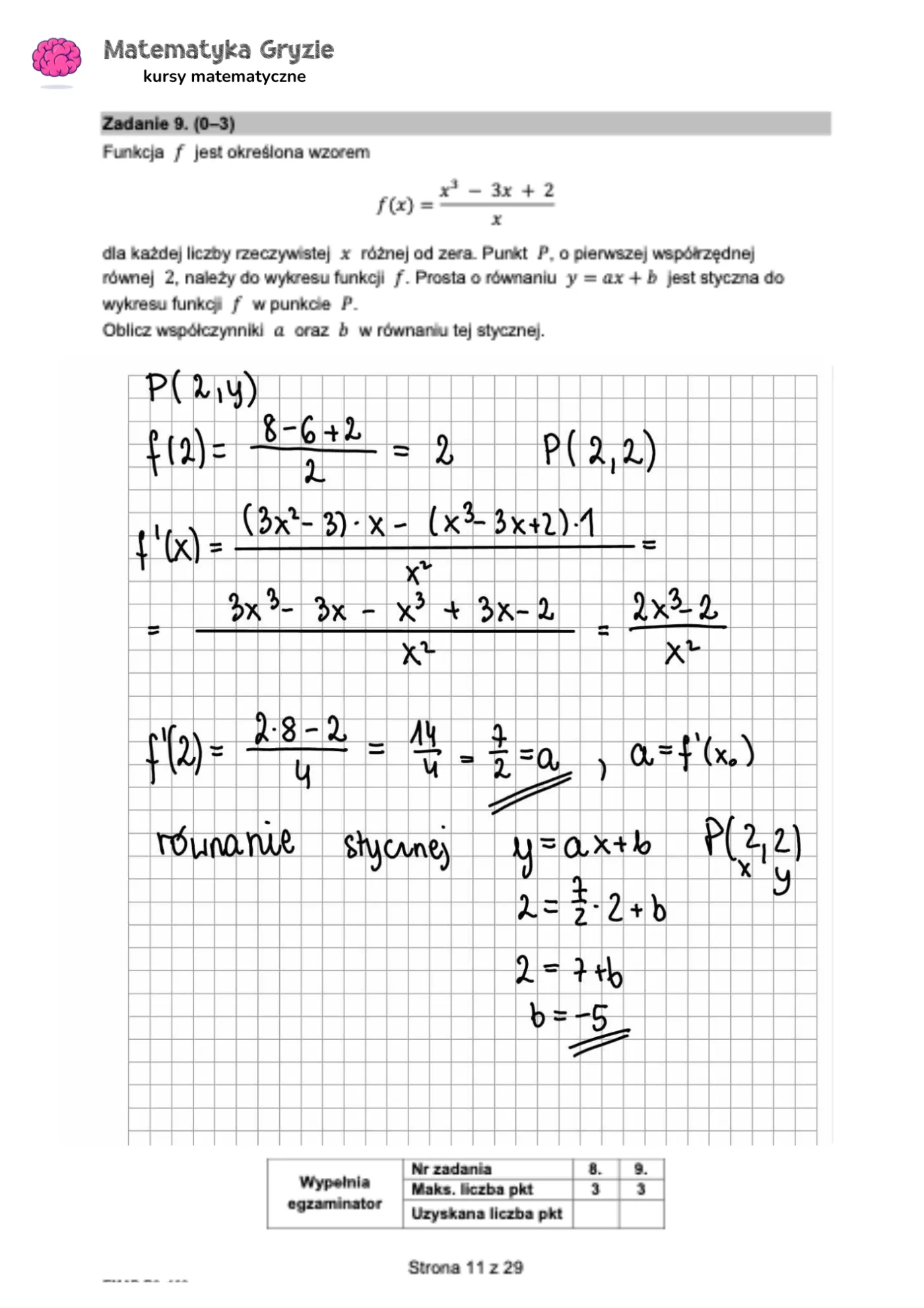
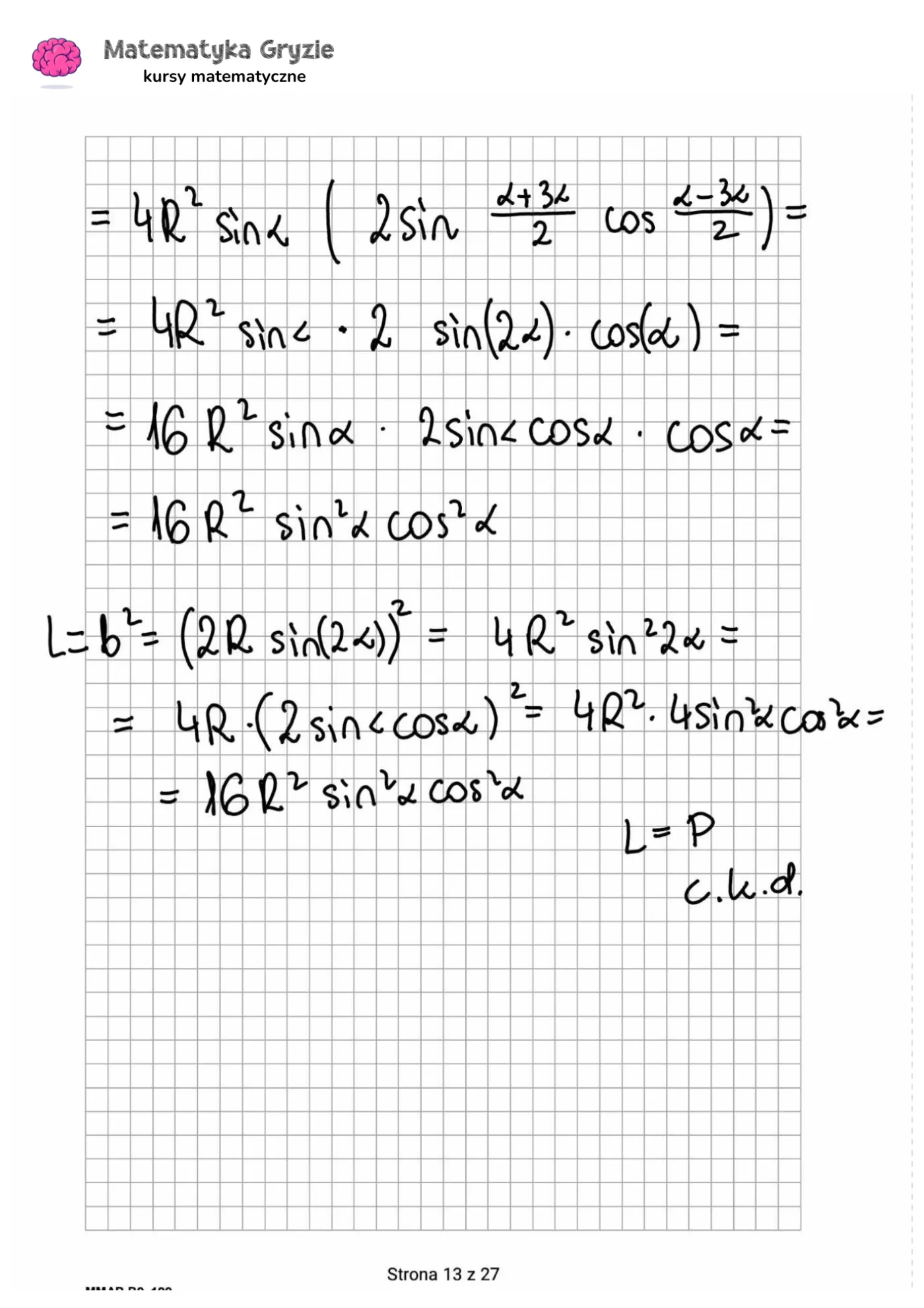
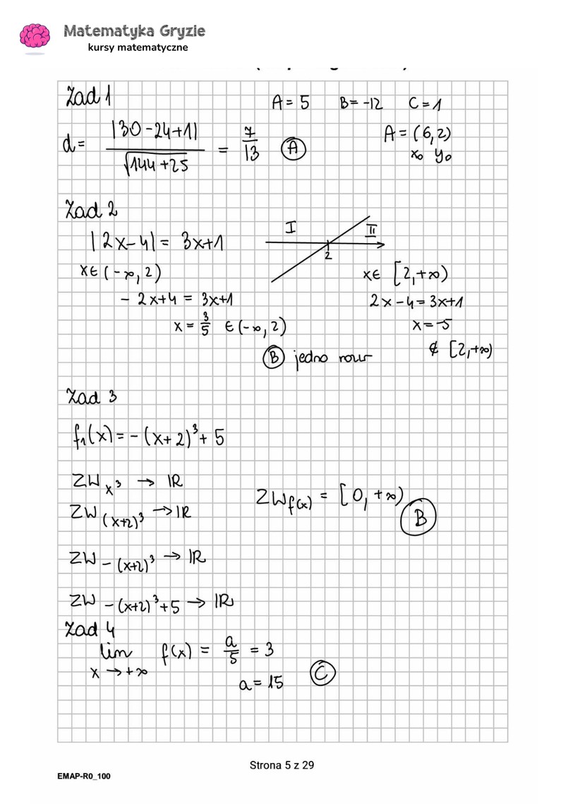
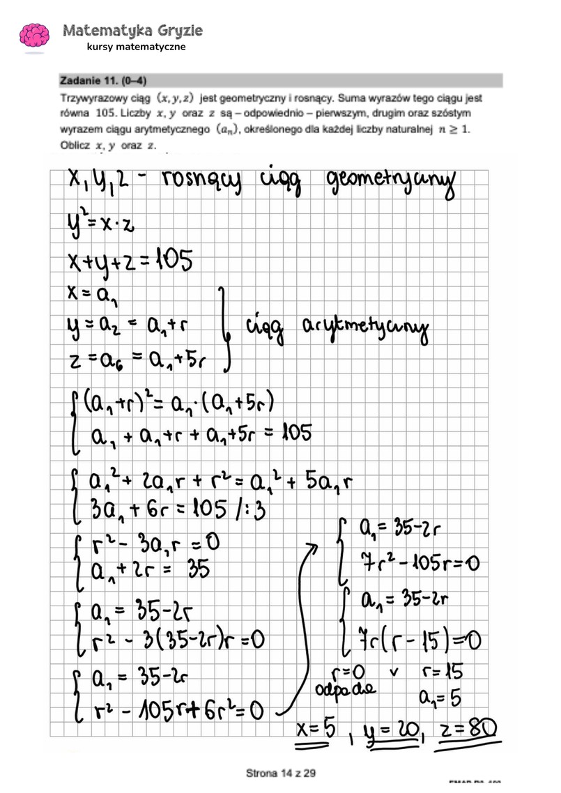
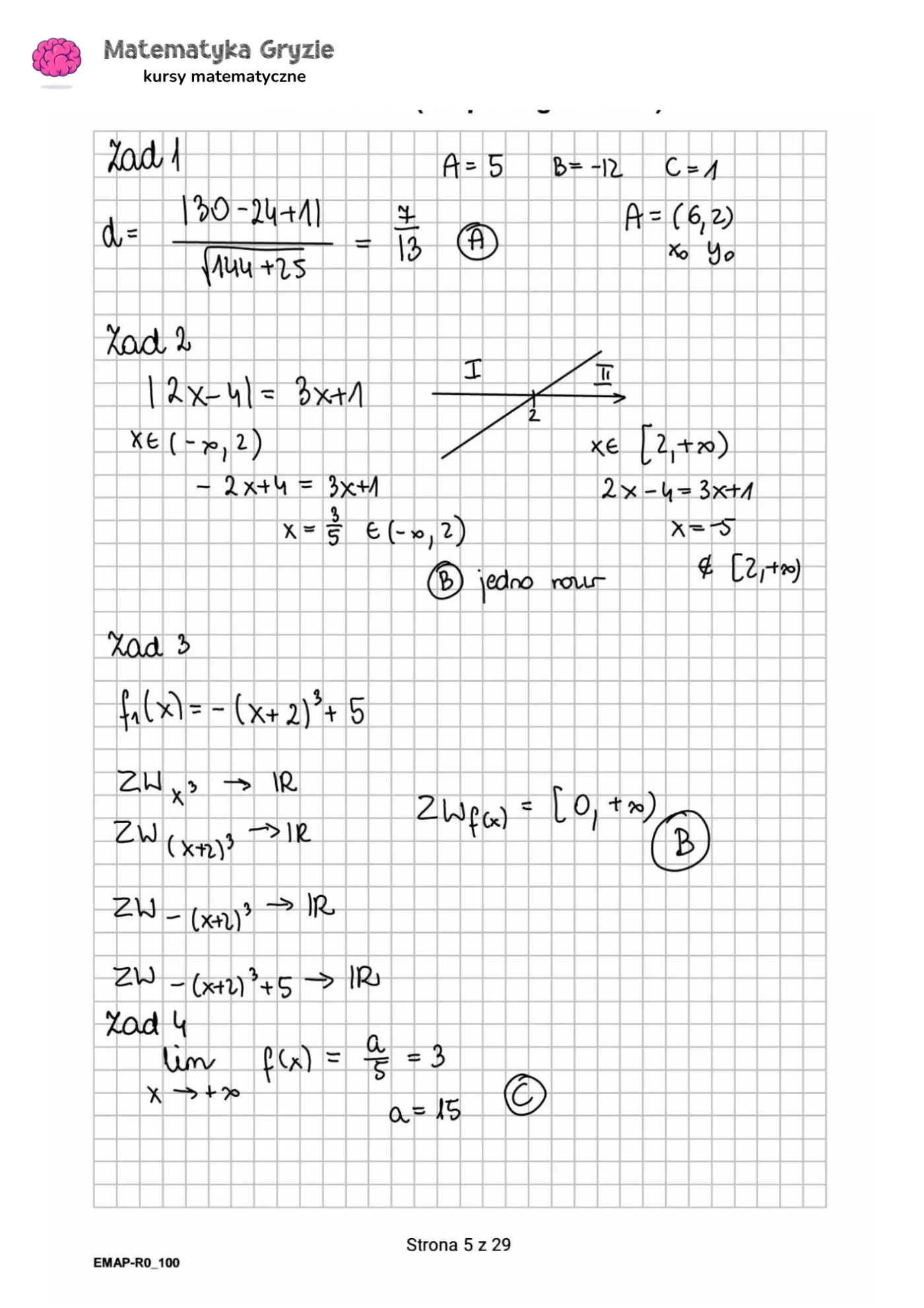
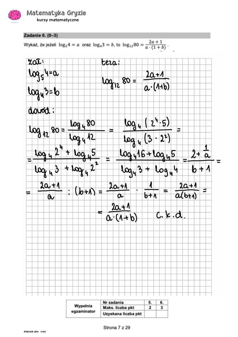
Poniżej publikujemy rozwiązania i odpowiedzi do arkuszy CKE z matematyki na poziomie rozszerzonym w formule 2023, sugerowane przez specjalistów z serwisu "Matematyka Gryzie". Strona nie odświeża się automatycznie – kliknij F5.
Matura 2024. Matematyka. Formuła 2015 - ODPOWIEDZI
Poniżej publikujemy rozwiązania i odpowiedzi do arkuszy CKE z matematyki na poziomie rozszerzonym w formule 2015, sugerowane przez specjalistów z serwisu "Matematyka Gryzie". Strona nie odświeża się automatycznie – kliknij F5.
