Dziennik Gazeta Prawana logo
Zakończył się egzamin ósmoklasisty 2024 z matematyki, do którego przystąpiło ponad 226 tys. uczniów. Co było na egzaminie? Po godz. 13.00 Centralna Komisja Egzaminacyjna opublikowała arkusze CKE, które znajdziecie poniżej. Jednocześnie nasi eksperci z serwisu "Matematyka Gryzie" opracowali rozwiązania zadań, które zamieszczamy w tym artykule. 

We wtorek 14 maja, w pierwszym dniu egzaminu ósmoklasisty 2024 uczniowie pisali język polski. W środę 15 maja - egzamin 2024 z matematyki. Natomiast w czwartek 16 maja - egzamin z języka obcego: angielskiego, niemieckiego, rosyjskiego, hiszpańskiego, francuskiego lub włoskiego.

Egzamin ósmoklasisty 2024. Arkusze CKE z matematyki

Już wiadomo z jakimi zadaniami i zagadnieniami musieli zmierzyć się zdający egzamin ósmoklasisty 2024. Po godz. 13 CKE opublikowała arkusze, a nasi eksperci z serwisu "MATEMATYKA GRYZIE" usiedli do opracowania odpowiedzi, które publikujemy w tym tekście.

Arkusze CKE znajdziesz poniżej. Po kliknięciu w link sprawdzisz, jak wyglądał tegoroczny egzamin.

TUTAJ ZNAJDZIESZ ARKUSZE CKE Z MATEMATYKI

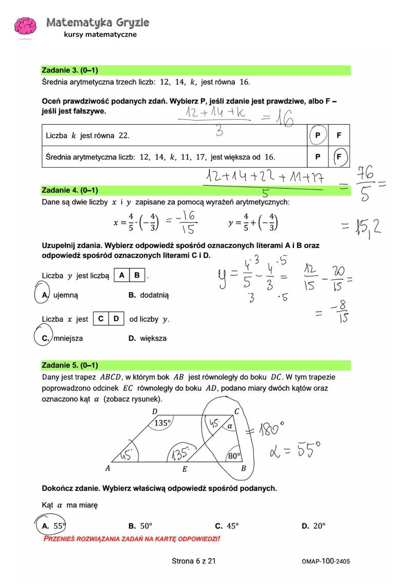
egzamin-osmoklasisty-2024-matematyka-arkusze-cke-i-odpowiedzi-38188951.png
Egzamin ósmoklasisty 2024. Matematyka [ARKUSZE CKE i ODPOWIEDZI]

Egzamin ósmoklasisty 2024. MATEMATYKA. ODPOWIEDZI

Zaraz po opublikowaniu przez Centralną Komisję Egzaminacyjną arkuszy CKE eksperci z serwisu "MATEMATYKA Gryzie" zasiedli do nich i przygotowali dla Was proponowane rozwiązania i odpowiedzi, które zamieszczamy poniżej. Strona nie odświeża się automatycznie – kliknij F5.

egzamin-osmoklasisty-2024-matematyka-arkusze-cke-i-odpowiedzi-38189006.png
Egzamin ósmoklasisty 2024. Matematyka [ARKUSZE CKE i ODPOWIEDZI]
egzamin-osmoklasisty-2024-matematyka-arkusze-cke-i-odpowiedzi-38189016.png
Egzamin ósmoklasisty 2024. Matematyka [ARKUSZE CKE i ODPOWIEDZI]
egzamin-osmoklasisty-2024-matematyka-arkusze-cke-i-odpowiedzi-38189026.png
Egzamin ósmoklasisty 2024. Matematyka [ARKUSZE CKE i ODPOWIEDZI]
egzamin-osmoklasisty-2024-matematyka-arkusze-cke-i-odpowiedzi-38189036.png
Egzamin ósmoklasisty 2024. Matematyka [ARKUSZE CKE i ODPOWIEDZI]
egzamin-osmoklasisty-2024-matematyka-arkusze-cke-i-odpowiedzi-38189041.png
Egzamin ósmoklasisty 2024. Matematyka [ARKUSZE CKE i ODPOWIEDZI]
egzamin-osmoklasisty-2024-matematyka-arkusze-cke-i-odpowiedzi-38189056.png
Egzamin ósmoklasisty 2024. Matematyka [ARKUSZE CKE i ODPOWIEDZI]
egzamin-osmoklasisty-2024-matematyka-arkusze-cke-i-odpowiedzi-38189061.png
Egzamin ósmoklasisty 2024. Matematyka [ARKUSZE CKE i ODPOWIEDZI]
egzamin-osmoklasisty-2024-matematyka-arkusze-cke-i-odpowiedzi-38189066.png
Egzamin ósmoklasisty 2024. Matematyka [ARKUSZE CKE i ODPOWIEDZI]
egzamin-osmoklasisty-2024-matematyka-arkusze-cke-i-odpowiedzi-38189104.png
Egzamin ósmoklasisty 2024. Matematyka [ARKUSZE CKE i ODPOWIEDZI]
egzamin-osmoklasisty-2024-matematyka-arkusze-cke-i-odpowiedzi-38189102.png
Egzamin ósmoklasisty 2024. Matematyka [ARKUSZE CKE i ODPOWIEDZI]
egzamin-osmoklasisty-2024-matematyka-arkusze-cke-i-odpowiedzi-38189209.png
Egzamin ósmoklasisty 2024. Matematyka [ARKUSZE CKE i ODPOWIEDZI]

Egzamin ósmoklasisty 2024. Czas trwania egzaminów

Każdego dnia egzamin ósmoklasisty rozpoczyna się o godz. 9.00.

Czas trwania egzaminu zależy od przedmiotu. I tak:

  • Egzamin z języka polskiego trwał 120 minut. W szczególnych przypadkach, np. dla uczniów z dysleksją - mógł zostać wydłużony do 60 min, a dla uczniów z Ukrainy nawet o 90 minut. 

  • Egzamin z matematyki trwał 100 minut. W szczególnych przypadkach mógł zostać wydłużony o 50 minut. 

  • Egzamin z języka obcego trwać będzie 90 minut, a wydłużony może być nie więcej niż o 45 minut.

Wyniki egzaminu ósmoklasisty 2024 zostaną ogłoszone 3 lipca 2024. Tego samego dnia uczniowie, otrzymają zaświadczenia o wynikach.

Egzamin ósmoklasisty 2024 - zasady

Przystąpienie do egzaminu ósmoklasisty jest warunkiem ukończenia szkoły podstawowej. Jeśli uczeń z powodów zdrowotnych lub losowych nie będzie mógł przystąpić do egzaminu w pierwszym terminie, to będzie go pisał w drugim terminie – 10-12 czerwca.

Wynik egzaminu ma wpływ na przyjęcie ucznia do wybranej przez niego szkoły ponadpodstawowej. Połowa wszystkich punktów do zdobycia – to właśnie punkty za egzamin. Reszta to punkty za oceny na świadectwie szkolnym i inne osiągnięcia ucznia.

Egzamin ósmoklasisty 2024 jest egzaminem, którego nie można nie zdać, nawet gdy uczeń osiągnie bardzo niskie wyniki. Nie jest możliwe powtórne podejście do egzaminu, aby poprawić wynik.

Copyright
Materiał chroniony prawem autorskim - wszelkie prawa zastrzeżone. Dalsze rozpowszechnianie artykułu za zgodą wydawcy INFOR PL S.A. Kup licencję
Źródło dziennik.pl
Aneta Malinowska
Aneta Malinowska
<p><span>Dziennikarka. Dawniej związana&nbsp;</span><a href="http://m.in/"><span>m.in</span></a><span>. z Polskim Radiem, Superstacją, Wirtualną Polską, portalem Tokfm.pl i Gazeta.pl oraz kilkoma mniejszymi redakcjami radiowymi i internetowymi. W Dziennik.pl zajmuje się głównie tematami społeczno-politycznymi. W czasie wolnym – wielbicielka kawy, podcastów, dobrej muzyki oraz bliższych i dalszych podróży.</span></p>
Zobacz wszystkie artykuły tego autoraEgzamin ósmoklasisty 2024. Matematyka [ARKUSZE CKE i ODPOWIEDZI] »
Zapisz się na newsletter
Świadczenia, emerytury, podatki, zmiany przepisów, newsy gospodarcze... To wszystko i wiele więcej znajdziesz w newsletterze Dziennik Radzi. Chcesz się dowiedzieć, kto może przejść na wcześniejszą emeryturę? A może jakie ulgi można odliczyć od podatku? Kto może otrzymać środki w ramach renty wdowiej? Zapisz się do naszego newslettera i bądź na bieżąco!

Zapisując się na newsletter wyrażasz zgodę na otrzymywanie treści reklam również podmiotów trzecich

Administratorem danych osobowych jest INFOR PL S.A. Dane są przetwarzane w celu wysyłki newslettera. Po więcej informacji kliknij tutaj