Dziennik Gazeta Prawana logo
O godz. 12.00 zakończyła się matura 2024 z matematyki na poziomie podstawowym. Łącznie do egzaminu przystąpiło ponad 293 tys. maturzystów. Co było na maturze z matematyki? Po godz. 14.00 Centralna Komisja Egzaminacyjna opublikowała arkusze CKE, które znajdziecie poniżej. W artykule udostępniamy również odpowiedzi przygotowane przez naszych ekspertów z serwisu "Matematyka Gryzie". 

Matura 2024 z matematyki na poziomie podstawowym to drugi obowiązkowy egzamin z sesji głównej matury 2024 roku. Aby go zdać trzeba zdobyć minimum 30 proc. punktów.

Matura 2024 - matematyka. Dwie formuły egzaminu

Matura z matematyki, podobnie jak w roku poprzednim odbyła się w dwóch formułach – 2015 i 2023. 

Do egzaminu maturalnego w "Formule 2023" przystąpili w tym roku:

  • absolwenci 4-letniego liceum ogólnokształcącego (po raz pierwszy lub kolejny);

  • absolwenci 5-letniego technikum (po raz pierwszy);

  • absolwenci branżowej szkoły II stopnia na podbudowie 8-letniej szkoły podstawowej (po raz pierwszy);

  • osoby, które uzyskały świadectwo ukończenia 4-letniego liceum ogólnokształcącego na podstawie egzaminów eksternistycznych (po raz pierwszy);

  • absolwenci ponadpodstawowych szkół średnich (z wyjątkami; po raz pierwszy lub kolejny) oraz absolwenci oddziałów międzynarodowych, posiadający dyplom IB (po raz pierwszy).

Natomiast do egzaminu maturalnego w "Formule 2015" przystąpili:

  • absolwenci wszystkich typów szkół z lat ubiegłych, tj. 3-letniego liceum ogólnokształcącego, szkoły artystycznej realizującej program 3-letniego liceum ogólnokształcącego, 4-letniego technikum, liceum profilowanego oraz technikum uzupełniającego dla młodzieży, uzupełniającego liceum ogólnokształcącego;

  • absolwenci branżowej szkoły II stopnia na podbudowie gimnazjum (po raz pierwszy lub kolejny);

  • osoby, które uzyskały świadectwo ukończenia 3-letniego liceum ogólnokształcącego na podstawie egzaminów eksternistycznych.

Matura 2024 z matematyki. Co było? Arkusze CKE

Już wiadomo z jakimi zadaniami musieli zmierzyć się tegoroczni maturzyści na maturze z matematyki. Po godz. 14.00 CKE opublikowała arkusze egzaminacyjne z matematyki w starej i nowej formule.

Arkusze CKE znajdziecie poniżej. Po kliknięciu w odpowiednie linki sprawdzisz, jak wyglądał tegoroczny egzamin.

Matura 2024. Arkusze CKE z matematyki. Formuła 2023

Jeśli chcesz sprawdzić, co było w formule 2023 kliknij tutaj:

ARKUSZ CKE – MATURA 2024 MATEMATYKA, POZIOM PODSTAWOWY, FORMUŁA 2023

matura-2024-matematyka-poziom-podstawowy-arkusze-cke-i-odpowiedzi-38181031.png
Matura 2024. Matematyka - poziom podstawowy [ARKUSZE CKE i ODPOWIEDZI]

Matura 2024. Arkusze CKE - matematyka. Formuła 2015

Jeśli chcesz sprawdzić, co było w formule 2015 kliknij tutaj:

Matura 2024. Matematyka [ARKUSZE CKE I ODPOWIEDZI, FORMUŁA 2015]

matura-2024-matematyka-poziom-podstawowy-arkusze-cke-i-odpowiedzi-38181034.png
Matura 2024. Matematyka - poziom podstawowy [ARKUSZE CKE i ODPOWIEDZI]

Matura 2024. Matematyka - poziom podstawowy. ODPOWIEDZI

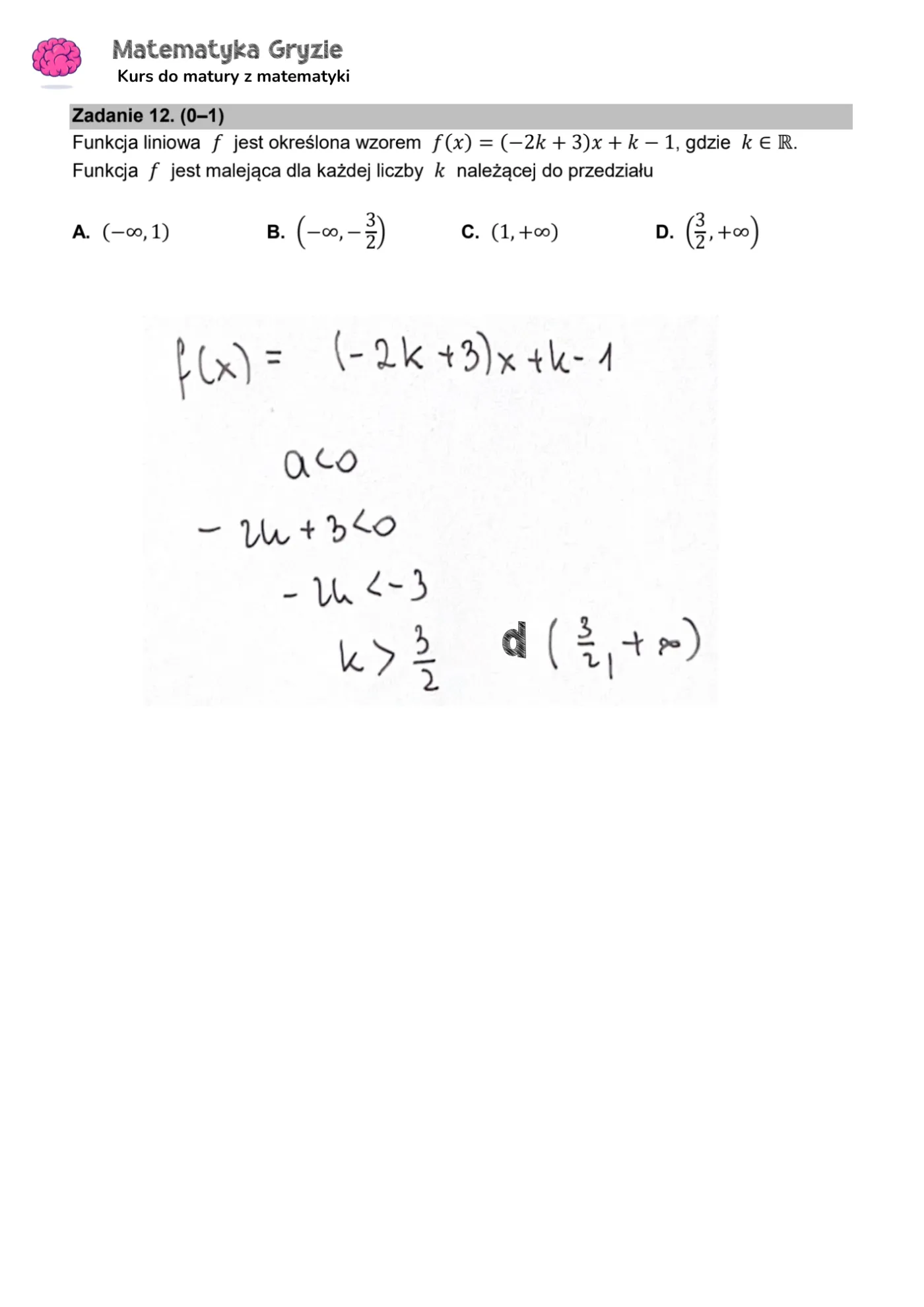
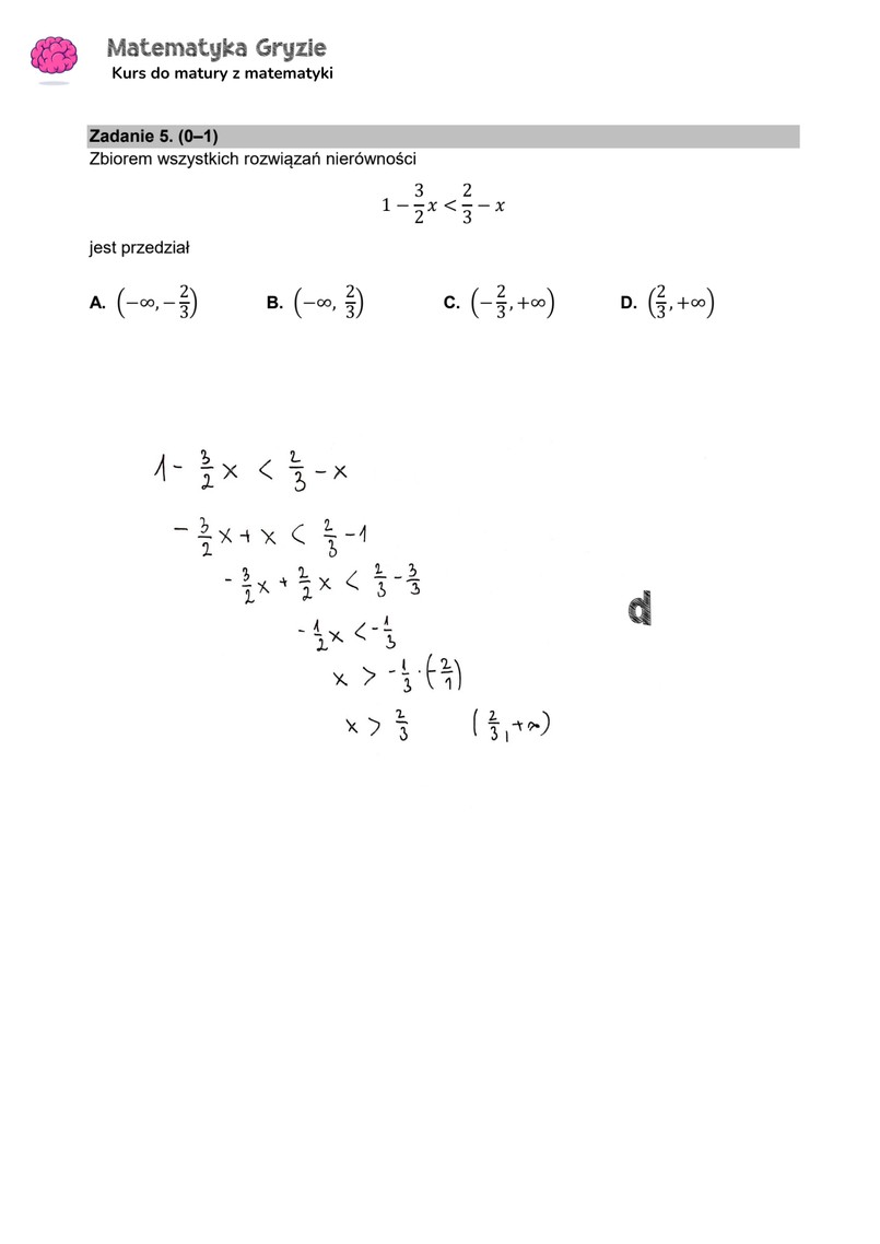
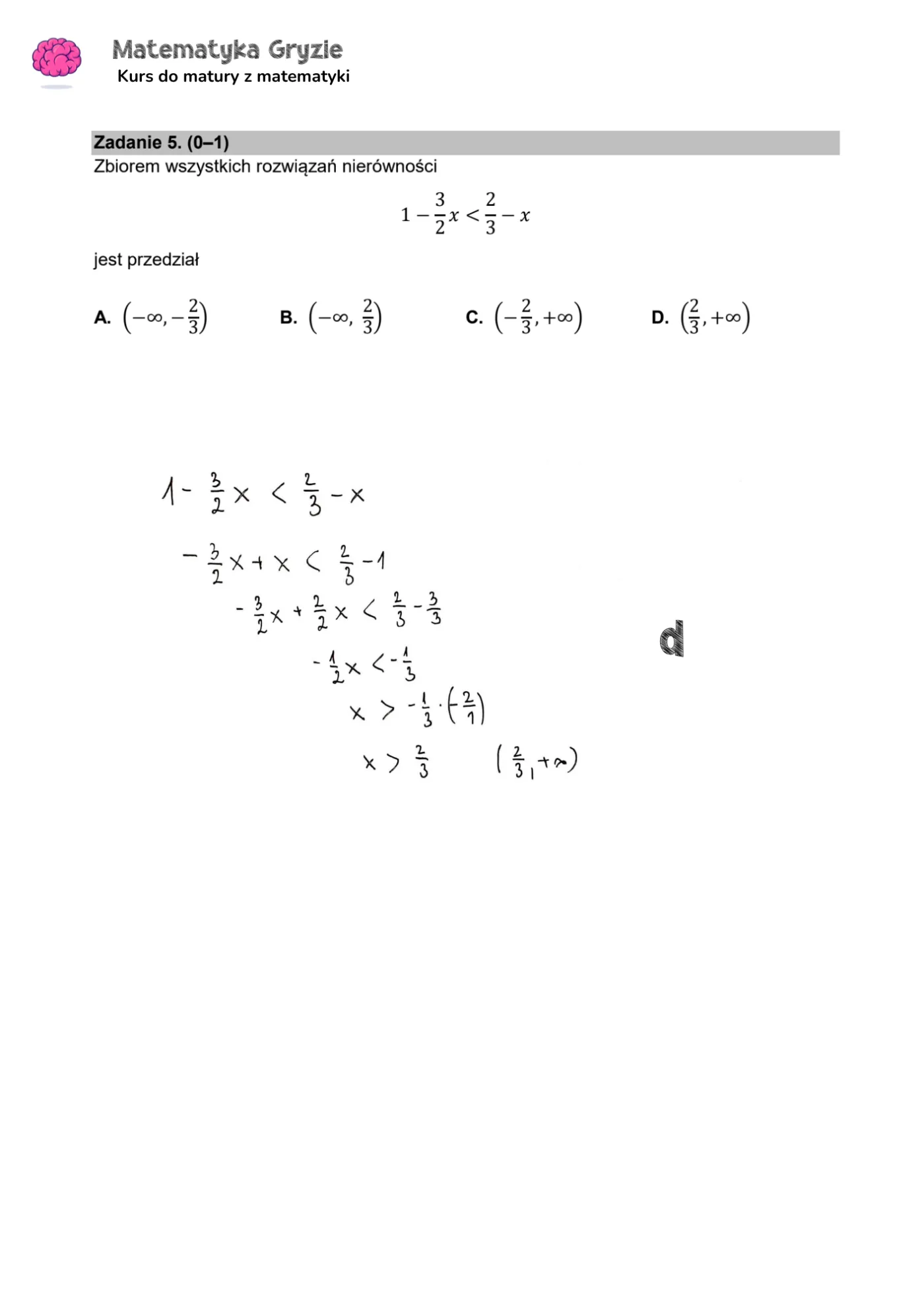
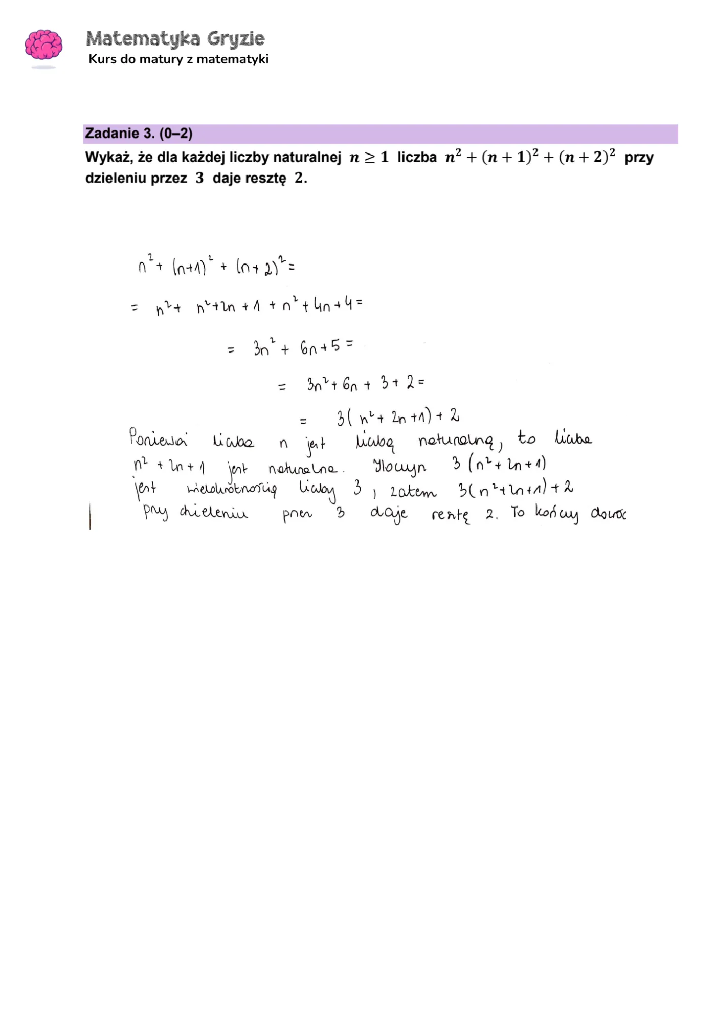
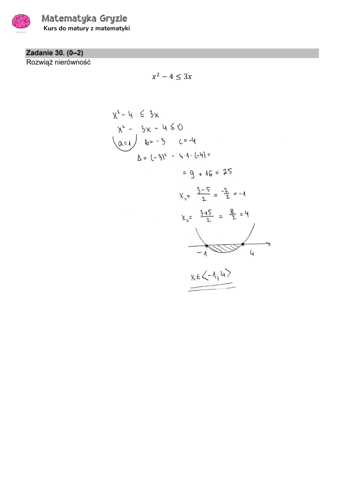
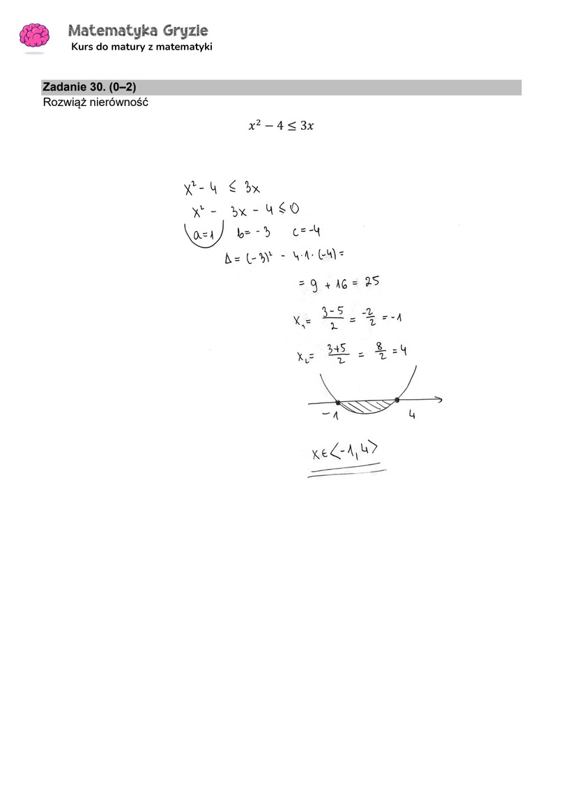
Zaraz po opublikowaniu przez Centralną Komisję Egzaminacyjną arkuszy CKE nasi eksperci zasiedli do nich i przygotowali dla was proponowane odpowiedzi z matury 2024 z matematyki. 

Matura 2024. Matematyka. Formuła 2023 - Odpowiedzi

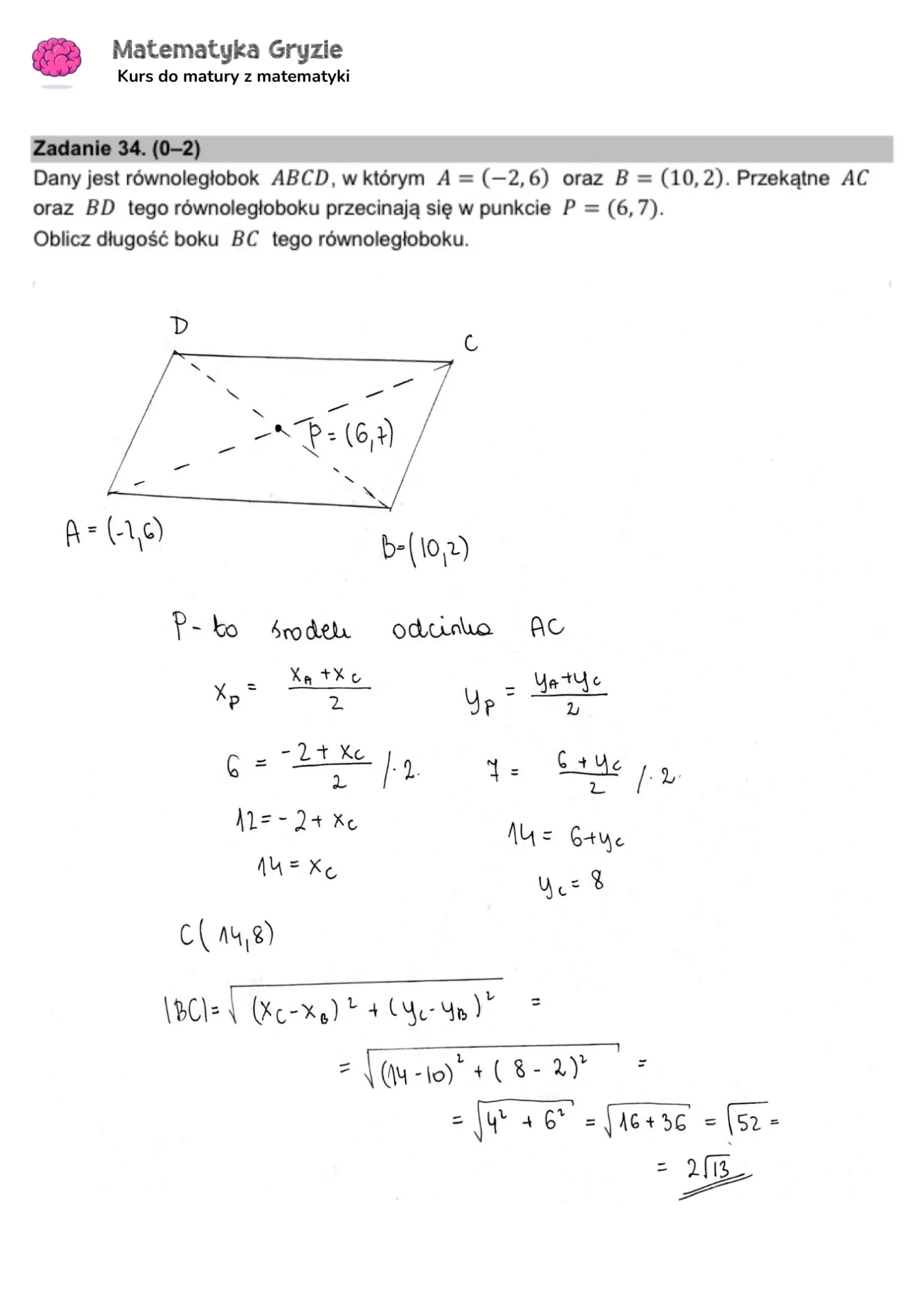
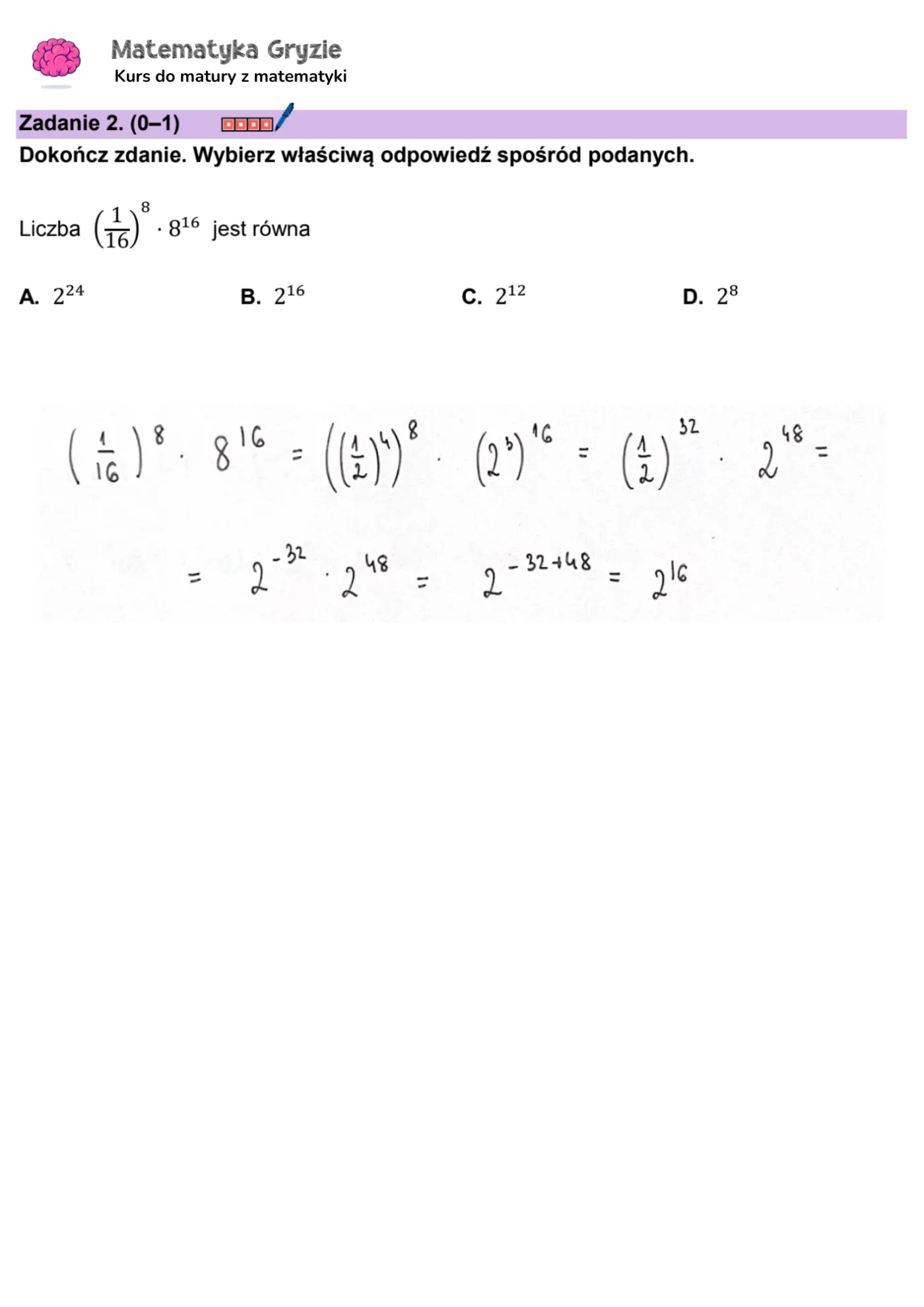
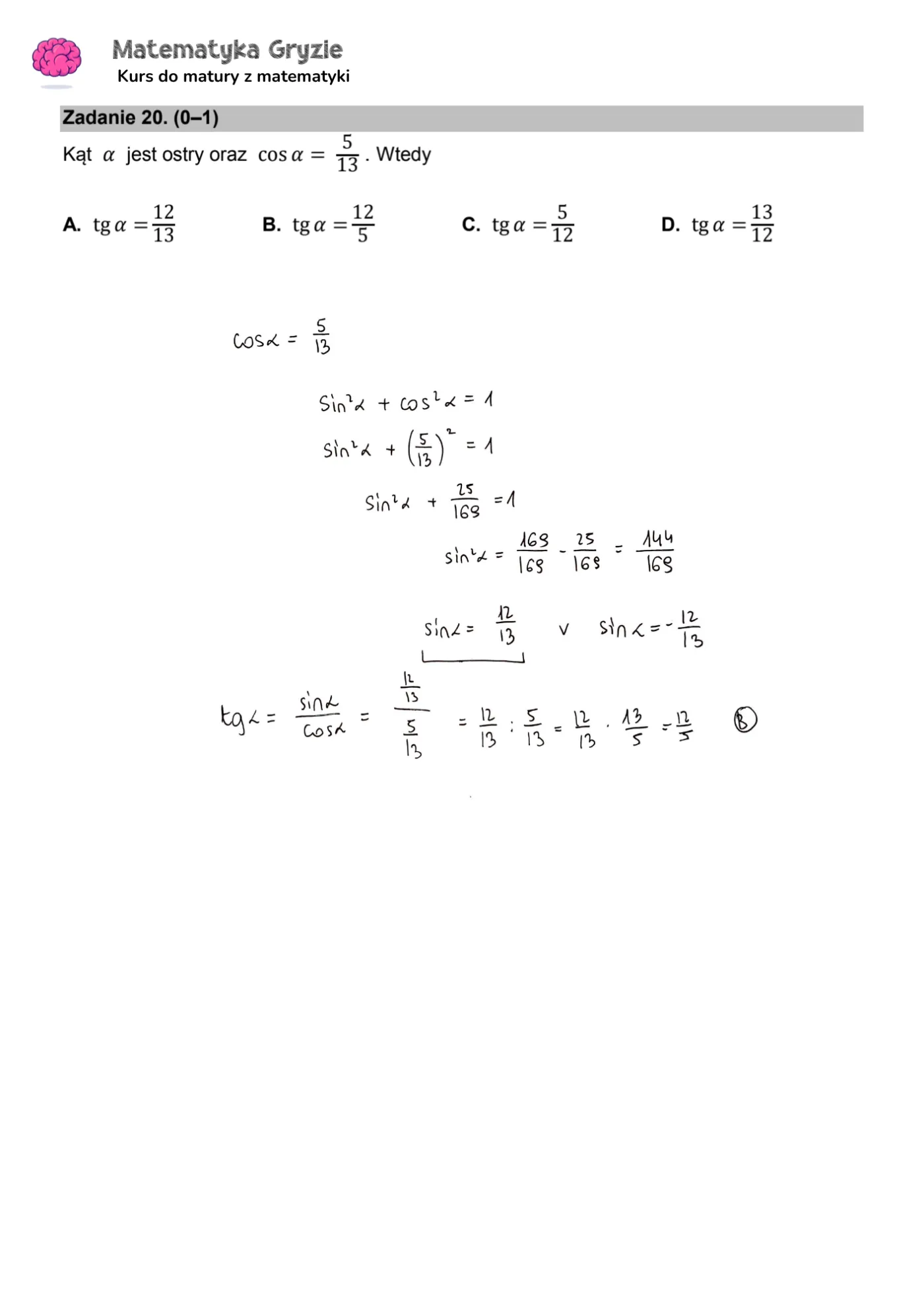
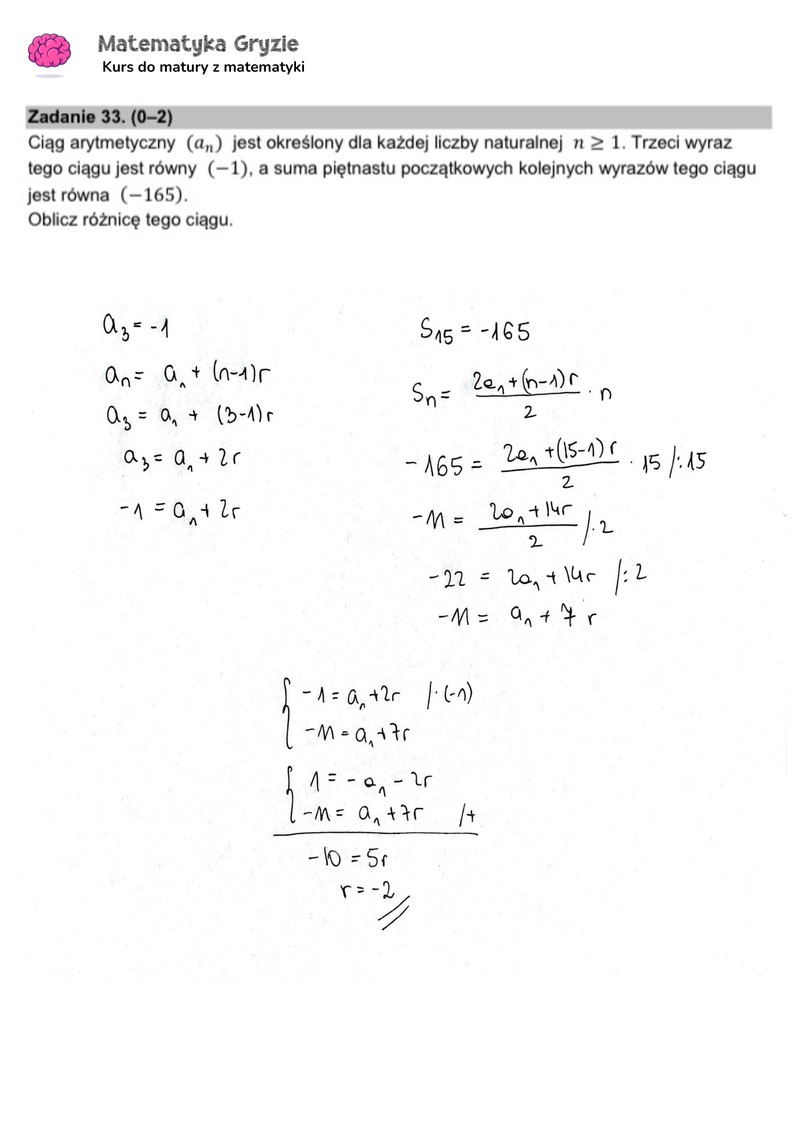
Poniżej publikujemy rozwiązania i odpowiedzi do arkuszy CKE z matematyki na poziomie podstawowym w formule 2023, sugerowane przez specjalistów z serwisu "Matematyka Gryzie". Strona nie odświeża się automatycznie – kliknij F5.

matura-2024-matematyka-poziom-podstawowy-arkusze-cke-i-odpowiedzi-38181320.png
Matura 2024. Matematyka - poziom podstawowy [ARKUSZE CKE i ODPOWIEDZI]
matura-2024-matematyka-poziom-podstawowy-arkusze-cke-i-odpowiedzi-38181321.png
Matura 2024. Matematyka - poziom podstawowy [ARKUSZE CKE i ODPOWIEDZI]
matura-2024-matematyka-poziom-podstawowy-arkusze-cke-i-odpowiedzi-38181322.png
Matura 2024. Matematyka - poziom podstawowy [ARKUSZE CKE i ODPOWIEDZI]
matura-2024-matematyka-poziom-podstawowy-arkusze-cke-i-odpowiedzi-38181323.png
Matura 2024. Matematyka - poziom podstawowy [ARKUSZE CKE i ODPOWIEDZI]
matura-2024-matematyka-poziom-podstawowy-arkusze-cke-i-odpowiedzi-38181324.png
Matura 2024. Matematyka - poziom podstawowy [ARKUSZE CKE i ODPOWIEDZI]
matura-2024-matematyka-poziom-podstawowy-arkusze-cke-i-odpowiedzi-38181265.png
Matura 2024. Matematyka - poziom podstawowy [ARKUSZE CKE i ODPOWIEDZI]
matura-2024-matematyka-poziom-podstawowy-arkusze-cke-i-odpowiedzi-38181266.png
Matura 2024. Matematyka - poziom podstawowy [ARKUSZE CKE i ODPOWIEDZI]
matura-2024-matematyka-poziom-podstawowy-arkusze-cke-i-odpowiedzi-38181250.png
Matura 2024. Matematyka - poziom podstawowy [ARKUSZE CKE i ODPOWIEDZI]
matura-2024-matematyka-poziom-podstawowy-arkusze-cke-i-odpowiedzi-38181252.png
Matura 2024. Matematyka - poziom podstawowy [ARKUSZE CKE i ODPOWIEDZI]
matura-2024-matematyka-poziom-podstawowy-arkusze-cke-i-odpowiedzi-38181254.png
Matura 2024. Matematyka - poziom podstawowy [ARKUSZE CKE i ODPOWIEDZI]
matura-2024-matematyka-poziom-podstawowy-arkusze-cke-i-odpowiedzi-38181230.png
Matura 2024. Matematyka - poziom podstawowy [ARKUSZE CKE i ODPOWIEDZI]
matura-2024-matematyka-poziom-podstawowy-arkusze-cke-i-odpowiedzi-38181230.png
Matura 2024. Matematyka - poziom podstawowy [ARKUSZE CKE i ODPOWIEDZI]
matura-2024-matematyka-poziom-podstawowy-arkusze-cke-i-odpowiedzi-38181231.png
Matura 2024. Matematyka - poziom podstawowy [ARKUSZE CKE i ODPOWIEDZI]
matura-2024-matematyka-poziom-podstawowy-arkusze-cke-i-odpowiedzi-38181232.png
Matura 2024. Matematyka - poziom podstawowy [ARKUSZE CKE i ODPOWIEDZI]
matura-2024-matematyka-poziom-podstawowy-arkusze-cke-i-odpowiedzi-38181216.png
Matura 2024. Matematyka - poziom podstawowy [ARKUSZE CKE i ODPOWIEDZI]
matura-2024-matematyka-poziom-podstawowy-arkusze-cke-i-odpowiedzi-38181215.png
Matura 2024. Matematyka - poziom podstawowy [ARKUSZE CKE i ODPOWIEDZI]
matura-2024-matematyka-poziom-podstawowy-arkusze-cke-i-odpowiedzi-38181210.png
Matura 2024. Matematyka - poziom podstawowy [ARKUSZE CKE i ODPOWIEDZI]
matura-2024-matematyka-poziom-podstawowy-arkusze-cke-i-odpowiedzi-38181205.png
Matura 2024. Matematyka - poziom podstawowy [ARKUSZE CKE i ODPOWIEDZI]
matura-2024-matematyka-poziom-podstawowy-arkusze-cke-i-odpowiedzi-38181185.png
Matura 2024. Matematyka - poziom podstawowy [ARKUSZE CKE i ODPOWIEDZI]
matura-2024-matematyka-poziom-podstawowy-arkusze-cke-i-odpowiedzi-38181186.png
Matura 2024. Matematyka - poziom podstawowy [ARKUSZE CKE i ODPOWIEDZI]
matura-2024-matematyka-poziom-podstawowy-arkusze-cke-i-odpowiedzi-38181180.png
Matura 2024. Matematyka - poziom podstawowy [ARKUSZE CKE i ODPOWIEDZI]
matura-2024-matematyka-poziom-podstawowy-arkusze-cke-i-odpowiedzi-38181171.png
Matura 2024. Matematyka - poziom podstawowy [ARKUSZE CKE i ODPOWIEDZI]
matura-2024-matematyka-poziom-podstawowy-arkusze-cke-i-odpowiedzi-38181170.png
Matura 2024. Matematyka - poziom podstawowy [ARKUSZE CKE i ODPOWIEDZI]
matura-2024-matematyka-poziom-podstawowy-arkusze-cke-i-odpowiedzi-38181150.png
Matura 2024. Matematyka - poziom podstawowy [ARKUSZE CKE i ODPOWIEDZI]
matura-2024-matematyka-poziom-podstawowy-arkusze-cke-i-odpowiedzi-38181145.png
Matura 2024. Matematyka - poziom podstawowy [ARKUSZE CKE i ODPOWIEDZI]
matura-2024-matematyka-poziom-podstawowy-arkusze-cke-i-odpowiedzi-38181140.png
Matura 2024. Matematyka - poziom podstawowy [ARKUSZE CKE i ODPOWIEDZI]
matura-2024-matematyka-poziom-podstawowy-arkusze-cke-i-odpowiedzi-38181135.png
Matura 2024. Matematyka - poziom podstawowy [ARKUSZE CKE i ODPOWIEDZI]
matura-2024-matematyka-poziom-podstawowy-arkusze-cke-i-odpowiedzi-38181125.png
Matura 2024. Matematyka - poziom podstawowy [ARKUSZE CKE i ODPOWIEDZI]
matura-2024-matematyka-poziom-podstawowy-arkusze-cke-i-odpowiedzi-38181127.png
Matura 2024. Matematyka - poziom podstawowy [ARKUSZE CKE i ODPOWIEDZI]
matura-2024-matematyka-poziom-podstawowy-arkusze-cke-i-odpowiedzi-38181120.png
Matura 2024. Matematyka - poziom podstawowy [ARKUSZE CKE i ODPOWIEDZI]
matura-2024-matematyka-poziom-podstawowy-arkusze-cke-i-odpowiedzi-38181115.png
Matura 2024. Matematyka - poziom podstawowy [ARKUSZE CKE i ODPOWIEDZI]
matura-2024-matematyka-poziom-podstawowy-arkusze-cke-i-odpowiedzi-38181110.png
Matura 2024. Matematyka - poziom podstawowy [ARKUSZE CKE i ODPOWIEDZI]
matura-2024-matematyka-poziom-podstawowy-arkusze-cke-i-odpowiedzi-38181105.png
Matura 2024. Matematyka - poziom podstawowy [ARKUSZE CKE i ODPOWIEDZI]
matura-2024-matematyka-poziom-podstawowy-arkusze-cke-i-odpowiedzi-38181097.png
Matura 2024. Matematyka - poziom podstawowy [ARKUSZE CKE i ODPOWIEDZI]
matura-2024-matematyka-poziom-podstawowy-arkusze-cke-i-odpowiedzi-38181088.png
Matura 2024. Matematyka - poziom podstawowy [ARKUSZE CKE i ODPOWIEDZI]
matura-2024-matematyka-poziom-podstawowy-arkusze-cke-i-odpowiedzi-38181087.png
Matura 2024. Matematyka - poziom podstawowy [ARKUSZE CKE i ODPOWIEDZI]
matura-2024-matematyka-poziom-podstawowy-arkusze-cke-i-odpowiedzi-38181082.png
Matura 2024. Matematyka - poziom podstawowy [ARKUSZE CKE i ODPOWIEDZI]
matura-2024-matematyka-poziom-podstawowy-arkusze-cke-i-odpowiedzi-38181077.png
Matura 2024. Matematyka - poziom podstawowy [ARKUSZE CKE i ODPOWIEDZI]
matura-2024-matematyka-poziom-podstawowy-arkusze-cke-i-odpowiedzi-38181071.png
Matura 2024. Matematyka - poziom podstawowy [ARKUSZE CKE i ODPOWIEDZI]
matura-2024-matematyka-poziom-podstawowy-arkusze-cke-i-odpowiedzi-38181066.png
Matura 2024. Matematyka - poziom podstawowy [ARKUSZE CKE i ODPOWIEDZI]
matura-2024-matematyka-poziom-podstawowy-arkusze-cke-i-odpowiedzi-38181056.png
Matura 2024. Matematyka - poziom podstawowy [ARKUSZE CKE i ODPOWIEDZI]

 

Matura 2024. Matematyka. Formuła 2015 - Odpowiedzi

Poniżej publikujemy rozwiązania i odpowiedzi do arkuszy CKE z matematyki na poziomie podstawowym w formule 2015, sugerowane przez specjalistów z serwisu "Matematyka Gryzie". Strona nie odświeża się automatycznie – kliknij F5.

matura-2024-matematyka-poziom-podstawowy-arkusze-cke-i-odpowiedzi-38181324.png
Matura 2024. Matematyka - poziom podstawowy [ARKUSZE CKE i ODPOWIEDZI]
matura-2024-matematyka-poziom-podstawowy-arkusze-cke-i-odpowiedzi-38181322.png
Matura 2024. Matematyka - poziom podstawowy [ARKUSZE CKE i ODPOWIEDZI]
matura-2024-matematyka-poziom-podstawowy-arkusze-cke-i-odpowiedzi-38181321.png
Matura 2024. Matematyka - poziom podstawowy [ARKUSZE CKE i ODPOWIEDZI]
matura-2024-matematyka-poziom-podstawowy-arkusze-cke-i-odpowiedzi-38181323.png
Matura 2024. Matematyka - poziom podstawowy [ARKUSZE CKE i ODPOWIEDZI]
matura-2024-matematyka-poziom-podstawowy-arkusze-cke-i-odpowiedzi-38181320.png
Matura 2024. Matematyka - poziom podstawowy [ARKUSZE CKE i ODPOWIEDZI]
matura-2024-matematyka-poziom-podstawowy-arkusze-cke-i-odpowiedzi-38181489.png
Matura 2024. Matematyka - poziom podstawowy [ARKUSZE CKE i ODPOWIEDZI]
matura-2024-matematyka-poziom-podstawowy-arkusze-cke-i-odpowiedzi-38181493.png
Matura 2024. Matematyka - poziom podstawowy [ARKUSZE CKE i ODPOWIEDZI]
matura-2024-matematyka-poziom-podstawowy-arkusze-cke-i-odpowiedzi-38181479.png
Matura 2024. Matematyka - poziom podstawowy [ARKUSZE CKE i ODPOWIEDZI]
matura-2024-matematyka-poziom-podstawowy-arkusze-cke-i-odpowiedzi-38181480.png
Matura 2024. Matematyka - poziom podstawowy [ARKUSZE CKE i ODPOWIEDZI]
matura-2024-matematyka-poziom-podstawowy-arkusze-cke-i-odpowiedzi-38181453.png
Matura 2024. Matematyka - poziom podstawowy [ARKUSZE CKE i ODPOWIEDZI]
matura-2024-matematyka-poziom-podstawowy-arkusze-cke-i-odpowiedzi-38181504.png
Matura 2024. Matematyka - poziom podstawowy [ARKUSZE CKE i ODPOWIEDZI]
matura-2024-matematyka-poziom-podstawowy-arkusze-cke-i-odpowiedzi-38181453.png
Matura 2024. Matematyka - poziom podstawowy [ARKUSZE CKE i ODPOWIEDZI]
matura-2024-matematyka-poziom-podstawowy-arkusze-cke-i-odpowiedzi-38181455.png
Matura 2024. Matematyka - poziom podstawowy [ARKUSZE CKE i ODPOWIEDZI]
matura-2024-matematyka-poziom-podstawowy-arkusze-cke-i-odpowiedzi-38181457.png
Matura 2024. Matematyka - poziom podstawowy [ARKUSZE CKE i ODPOWIEDZI]
matura-2024-matematyka-poziom-podstawowy-arkusze-cke-i-odpowiedzi-38181458.png
Matura 2024. Matematyka - poziom podstawowy [ARKUSZE CKE i ODPOWIEDZI]
matura-2024-matematyka-poziom-podstawowy-arkusze-cke-i-odpowiedzi-38181453.png
Matura 2024. Matematyka - poziom podstawowy [ARKUSZE CKE i ODPOWIEDZI]
matura-2024-matematyka-poziom-podstawowy-arkusze-cke-i-odpowiedzi-38181455.png
Matura 2024. Matematyka - poziom podstawowy [ARKUSZE CKE i ODPOWIEDZI]
matura-2024-matematyka-poziom-podstawowy-arkusze-cke-i-odpowiedzi-38181457.png
Matura 2024. Matematyka - poziom podstawowy [ARKUSZE CKE i ODPOWIEDZI]
matura-2024-matematyka-poziom-podstawowy-arkusze-cke-i-odpowiedzi-38181458.png
Matura 2024. Matematyka - poziom podstawowy [ARKUSZE CKE i ODPOWIEDZI]
matura-2024-matematyka-poziom-podstawowy-arkusze-cke-i-odpowiedzi-38181433.png
Matura 2024. Matematyka - poziom podstawowy [ARKUSZE CKE i ODPOWIEDZI]
matura-2024-matematyka-poziom-podstawowy-arkusze-cke-i-odpowiedzi-38181434.png
Matura 2024. Matematyka - poziom podstawowy [ARKUSZE CKE i ODPOWIEDZI]
matura-2024-matematyka-poziom-podstawowy-arkusze-cke-i-odpowiedzi-38181435.png
Matura 2024. Matematyka - poziom podstawowy [ARKUSZE CKE i ODPOWIEDZI]
matura-2024-matematyka-poziom-podstawowy-arkusze-cke-i-odpowiedzi-38181436.png
Matura 2024. Matematyka - poziom podstawowy [ARKUSZE CKE i ODPOWIEDZI]
matura-2024-matematyka-poziom-podstawowy-arkusze-cke-i-odpowiedzi-38181413.png
Matura 2024. Matematyka - poziom podstawowy [ARKUSZE CKE i ODPOWIEDZI]
matura-2024-matematyka-poziom-podstawowy-arkusze-cke-i-odpowiedzi-38181414.png
Matura 2024. Matematyka - poziom podstawowy [ARKUSZE CKE i ODPOWIEDZI]
matura-2024-matematyka-poziom-podstawowy-arkusze-cke-i-odpowiedzi-38181415.png
Matura 2024. Matematyka - poziom podstawowy [ARKUSZE CKE i ODPOWIEDZI]
matura-2024-matematyka-poziom-podstawowy-arkusze-cke-i-odpowiedzi-38181416.png
Matura 2024. Matematyka - poziom podstawowy [ARKUSZE CKE i ODPOWIEDZI]
matura-2024-matematyka-poziom-podstawowy-arkusze-cke-i-odpowiedzi-38181393.png
Matura 2024. Matematyka - poziom podstawowy [ARKUSZE CKE i ODPOWIEDZI]
matura-2024-matematyka-poziom-podstawowy-arkusze-cke-i-odpowiedzi-38181397.png
Matura 2024. Matematyka - poziom podstawowy [ARKUSZE CKE i ODPOWIEDZI]
matura-2024-matematyka-poziom-podstawowy-arkusze-cke-i-odpowiedzi-38181398.png
Matura 2024. Matematyka - poziom podstawowy [ARKUSZE CKE i ODPOWIEDZI]
matura-2024-matematyka-poziom-podstawowy-arkusze-cke-i-odpowiedzi-38181388.png
Matura 2024. Matematyka - poziom podstawowy [ARKUSZE CKE i ODPOWIEDZI]
matura-2024-matematyka-poziom-podstawowy-arkusze-cke-i-odpowiedzi-38181345.png
Matura 2024. Matematyka - poziom podstawowy [ARKUSZE CKE i ODPOWIEDZI]
matura-2024-matematyka-poziom-podstawowy-arkusze-cke-i-odpowiedzi-38181346.png
Matura 2024. Matematyka - poziom podstawowy [ARKUSZE CKE i ODPOWIEDZI]
matura-2024-matematyka-poziom-podstawowy-arkusze-cke-i-odpowiedzi-38181347.png
Matura 2024. Matematyka - poziom podstawowy [ARKUSZE CKE i ODPOWIEDZI]
matura-2024-matematyka-poziom-podstawowy-arkusze-cke-i-odpowiedzi-38181348.png
Matura 2024. Matematyka - poziom podstawowy [ARKUSZE CKE i ODPOWIEDZI]
matura-2024-matematyka-poziom-podstawowy-arkusze-cke-i-odpowiedzi-38181315.png
Matura 2024. Matematyka - poziom podstawowy [ARKUSZE CKE i ODPOWIEDZI]
matura-2024-matematyka-poziom-podstawowy-arkusze-cke-i-odpowiedzi-38181304.png
Matura 2024. Matematyka - poziom podstawowy [ARKUSZE CKE i ODPOWIEDZI]
matura-2024-matematyka-poziom-podstawowy-arkusze-cke-i-odpowiedzi-38181300.png
Matura 2024. Matematyka - poziom podstawowy [ARKUSZE CKE i ODPOWIEDZI]
matura-2024-matematyka-poziom-podstawowy-arkusze-cke-i-odpowiedzi-38181285.png
Matura 2024. Matematyka - poziom podstawowy [ARKUSZE CKE i ODPOWIEDZI]
matura-2024-matematyka-poziom-podstawowy-arkusze-cke-i-odpowiedzi-38181286.png
Matura 2024. Matematyka - poziom podstawowy [ARKUSZE CKE i ODPOWIEDZI]
matura-2024-matematyka-poziom-podstawowy-arkusze-cke-i-odpowiedzi-38181288.png
Matura 2024. Matematyka - poziom podstawowy [ARKUSZE CKE i ODPOWIEDZI]
Copyright
Materiał chroniony prawem autorskim - wszelkie prawa zastrzeżone. Dalsze rozpowszechnianie artykułu za zgodą wydawcy INFOR PL S.A. Kup licencję
Źródło dziennik.pl
Powiązane
Aneta Malinowska
Aneta Malinowska
<p><span>Dziennikarka. Dawniej związana&nbsp;</span><a href="http://m.in/"><span>m.in</span></a><span>. z Polskim Radiem, Superstacją, Wirtualną Polską, portalem Tokfm.pl i Gazeta.pl oraz kilkoma mniejszymi redakcjami radiowymi i internetowymi. W Dziennik.pl zajmuje się głównie tematami społeczno-politycznymi. W czasie wolnym – wielbicielka kawy, podcastów, dobrej muzyki oraz bliższych i dalszych podróży.</span></p>
Zobacz wszystkie artykuły tego autoraMatura 2024. Matematyka - poziom podstawowy [ARKUSZE CKE i ODPOWIEDZI] »
Zapisz się na newsletter
Świadczenia, emerytury, podatki, zmiany przepisów, newsy gospodarcze... To wszystko i wiele więcej znajdziesz w newsletterze Dziennik Radzi. Chcesz się dowiedzieć, kto może przejść na wcześniejszą emeryturę? A może jakie ulgi można odliczyć od podatku? Kto może otrzymać środki w ramach renty wdowiej? Zapisz się do naszego newslettera i bądź na bieżąco!

Zapisując się na newsletter wyrażasz zgodę na otrzymywanie treści reklam również podmiotów trzecich

Administratorem danych osobowych jest INFOR PL S.A. Dane są przetwarzane w celu wysyłki newslettera. Po więcej informacji kliknij tutaj