Matura 2014 z matematyki najtrudniejsza w historii? Mamy ROZWIĄZANIA!
1 Zadania rozwiązała dla nas mgr inż. Anna Zalewska, która od ośmiu lat przygotowuje uczniów do matury z matematyki na poziomie podstawowym i rozszerzonym. Właściciel Szkoły Matematyki GAUSS (www.gauss.edu.pl) oraz trener-wykładowca na Uniwersytecie Śląskim Maturzystów (www.maturzysta.us.edu.pl).
dziennik.pl
2 Zadania rozwiązała dla nas mgr inż. Anna Zalewska, która od ośmiu lat przygotowuje uczniów do matury z matematyki na poziomie podstawowym i rozszerzonym. Właściciel Szkoły Matematyki GAUSS (www.gauss.edu.pl) oraz trener-wykładowca na Uniwersytecie Śląskim Maturzystów (www.maturzysta.us.edu.pl).
dziennik.pl
3 Zadania rozwiązała dla nas mgr inż. Anna Zalewska, która od ośmiu lat przygotowuje uczniów do matury z matematyki na poziomie podstawowym i rozszerzonym. Właściciel Szkoły Matematyki GAUSS (www.gauss.edu.pl) oraz trener-wykładowca na Uniwersytecie Śląskim Maturzystów (www.maturzysta.us.edu.pl).
dziennik.pl
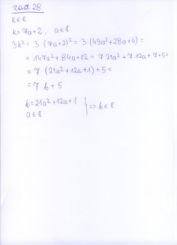
4 Zadania rozwiązała dla nas mgr inż. Anna Zalewska, która od ośmiu lat przygotowuje uczniów do matury z matematyki na poziomie podstawowym i rozszerzonym. Właściciel Szkoły Matematyki GAUSS (www.gauss.edu.pl) oraz trener-wykładowca na Uniwersytecie Śląskim Maturzystów (www.maturzysta.us.edu.pl).
dziennik.pl
5 Zadania rozwiązała dla nas mgr inż. Anna Zalewska, która od ośmiu lat przygotowuje uczniów do matury z matematyki na poziomie podstawowym i rozszerzonym. Właściciel Szkoły Matematyki GAUSS (www.gauss.edu.pl) oraz trener-wykładowca na Uniwersytecie Śląskim Maturzystów (www.maturzysta.us.edu.pl).
dziennik.pl
6 Zadania rozwiązała dla nas mgr inż. Anna Zalewska, która od ośmiu lat przygotowuje uczniów do matury z matematyki na poziomie podstawowym i rozszerzonym. Właściciel Szkoły Matematyki GAUSS (www.gauss.edu.pl) oraz trener-wykładowca na Uniwersytecie Śląskim Maturzystów (www.maturzysta.us.edu.pl).
dziennik.pl
7 Zadania rozwiązała dla nas mgr inż. Anna Zalewska, która od ośmiu lat przygotowuje uczniów do matury z matematyki na poziomie podstawowym i rozszerzonym. Właściciel Szkoły Matematyki GAUSS (www.gauss.edu.pl) oraz trener-wykładowca na Uniwersytecie Śląskim Maturzystów (www.maturzysta.us.edu.pl).
dziennik.pl
8 Zadania rozwiązała dla nas mgr inż. Anna Zalewska, która od ośmiu lat przygotowuje uczniów do matury z matematyki na poziomie podstawowym i rozszerzonym. Właściciel Szkoły Matematyki GAUSS (www.gauss.edu.pl) oraz trener-wykładowca na Uniwersytecie Śląskim Maturzystów (www.maturzysta.us.edu.pl).
dziennik.pl
9 Zadania rozwiązała dla nas mgr inż. Anna Zalewska, która od ośmiu lat przygotowuje uczniów do matury z matematyki na poziomie podstawowym i rozszerzonym. Właściciel Szkoły Matematyki GAUSS (www.gauss.edu.pl) oraz trener-wykładowca na Uniwersytecie Śląskim Maturzystów (www.maturzysta.us.edu.pl).
dziennik.pl
10 Zadania rozwiązała dla nas mgr inż. Anna Zalewska, która od ośmiu lat przygotowuje uczniów do matury z matematyki na poziomie podstawowym i rozszerzonym. Właściciel Szkoły Matematyki GAUSS (www.gauss.edu.pl) oraz trener-wykładowca na Uniwersytecie Śląskim Maturzystów (www.maturzysta.us.edu.pl).
dziennik.pl
11 Zadania rozwiązała dla nas mgr inż. Anna Zalewska, która od ośmiu lat przygotowuje uczniów do matury z matematyki na poziomie podstawowym i rozszerzonym. Właściciel Szkoły Matematyki GAUSS (www.gauss.edu.pl) oraz trener-wykładowca na Uniwersytecie Śląskim Maturzystów (www.maturzysta.us.edu.pl).
dziennik.pl
12 Zadania rozwiązała dla nas mgr inż. Anna Zalewska, która od ośmiu lat przygotowuje uczniów do matury z matematyki na poziomie podstawowym i rozszerzonym. Właściciel Szkoły Matematyki GAUSS (www.gauss.edu.pl) oraz trener-wykładowca na Uniwersytecie Śląskim Maturzystów (www.maturzysta.us.edu.pl).
dziennik.pl
13 Zadania rozwiązała dla nas mgr inż. Anna Zalewska, która od ośmiu lat przygotowuje uczniów do matury z matematyki na poziomie podstawowym i rozszerzonym. Właściciel Szkoły Matematyki GAUSS (www.gauss.edu.pl) oraz trener-wykładowca na Uniwersytecie Śląskim Maturzystów (www.maturzysta.us.edu.pl).
dziennik.pl